علم الكيمياء
تاريخ الكيمياء والعلماء المشاهير
التحاضير والتجارب الكيميائية
المخاطر والوقاية في الكيمياء
اخرى
مقالات متنوعة في علم الكيمياء
كيمياء عامة
الكيمياء التحليلية
مواضيع عامة في الكيمياء التحليلية
التحليل النوعي والكمي
التحليل الآلي (الطيفي)
طرق الفصل والتنقية
الكيمياء الحياتية
مواضيع عامة في الكيمياء الحياتية
الكاربوهيدرات
الاحماض الامينية والبروتينات
الانزيمات
الدهون
الاحماض النووية
الفيتامينات والمرافقات الانزيمية
الهرمونات
الكيمياء العضوية
مواضيع عامة في الكيمياء العضوية
الهايدروكاربونات
المركبات الوسطية وميكانيكيات التفاعلات العضوية
التشخيص العضوي
تجارب وتفاعلات في الكيمياء العضوية
الكيمياء الفيزيائية
مواضيع عامة في الكيمياء الفيزيائية
الكيمياء الحرارية
حركية التفاعلات الكيميائية
الكيمياء الكهربائية
الكيمياء اللاعضوية
مواضيع عامة في الكيمياء اللاعضوية
الجدول الدوري وخواص العناصر
نظريات التآصر الكيميائي
كيمياء العناصر الانتقالية ومركباتها المعقدة
مواضيع اخرى في الكيمياء
كيمياء النانو
الكيمياء السريرية
الكيمياء الطبية والدوائية
كيمياء الاغذية والنواتج الطبيعية
الكيمياء الجنائية
الكيمياء الصناعية
البترو كيمياويات
الكيمياء الخضراء
كيمياء البيئة
كيمياء البوليمرات
مواضيع عامة في الكيمياء الصناعية
الكيمياء الاشعاعية والنووية
Reactions of the CO ligand
المؤلف:
Peter Atkins, Tina Overton, Jonathan Rourke, Mark Weller, and Fraser Armstrong
المصدر:
Shriver and Atkins Inorganic Chemistry ,5th E
الجزء والصفحة:
ص557-558
2025-10-02
111
Reactions of the CO ligand
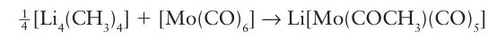
Key points: The C atom of CO is susceptible to attack by nucleophiles if it is attached to a metal atom that is electron poor; the O atom of CO is susceptible to attack by electrophiles in electron-rich carbonyls. The C atom of CO is susceptible to attack by nucleophiles if it is attached to a metal atom that is not electron rich. Thus, terminal carbonyls with high CO stretching frequencies are liable to attack by nucleophiles. The d electrons in these neutral or cationic metal carbonyls are not extensively delocalized on to the carbonyl C atom and so that atom can be at tacked by electron-rich reagents. For example, strong nucleophiles (such as methyllithium, Section 11.17) attack the CO in many neutral metal carbonyl compounds:
The resulting anionic acyl compound reacts with carbocation reagents to produce a stable and easily handled neutral product:
The product of this reaction, with a direct MC bond, is a Fischer carbene (Section 22.15). The attack of a nucleophile on the C atom is also important for the mechanism of the hydroxide-induced dissociation of metal carbonyls:
In electron-rich metal carbonyls, considerable electron density is delocalized on the CO ligand. As a result, in some cases the O atom of a CO ligand is susceptible to attack by electrophiles. Once again, IR data provide an indication of when this type of reaction should be expected, as a low CO stretching frequency indicates significant backdonation to the CO ligand and hence appreciable electron density on the O atom. Thus, a bridging carbonyl is particularly susceptible to attack at the O atom:
The attachment of an electrophile to the oxygen of a CO ligand, as in the structure on the right of this equation, promotes migratory insertion reactions (Section 22.24) and C O cleavage reactions. The ability of some alkyl-substituted metal carbonyls to undergo a migratory insertion reaction to give acyl ligands, (CO)R, is discussed in detail in Section 22.24.
الاكثر قراءة في مواضيع عامة في الكيمياء العضوية
اخر الاخبار
اخبار العتبة العباسية المقدسة

الآخبار الصحية
