

تاريخ الرياضيات

الاعداد و نظريتها

تاريخ التحليل

تار يخ الجبر

الهندسة و التبلوجي


الرياضيات في الحضارات المختلفة

العربية

اليونانية

البابلية

الصينية

المايا

المصرية

الهندية


الرياضيات المتقطعة

المنطق

اسس الرياضيات

فلسفة الرياضيات

مواضيع عامة في المنطق


الجبر

الجبر الخطي

الجبر المجرد

الجبر البولياني

مواضيع عامة في الجبر

الضبابية

نظرية المجموعات

نظرية الزمر

نظرية الحلقات والحقول

نظرية الاعداد

نظرية الفئات

حساب المتجهات

المتتاليات-المتسلسلات

المصفوفات و نظريتها

المثلثات


الهندسة

الهندسة المستوية

الهندسة غير المستوية

مواضيع عامة في الهندسة

التفاضل و التكامل


المعادلات التفاضلية و التكاملية

معادلات تفاضلية

معادلات تكاملية

مواضيع عامة في المعادلات


التحليل

التحليل العددي

التحليل العقدي

التحليل الدالي

مواضيع عامة في التحليل

التحليل الحقيقي

التبلوجيا

نظرية الالعاب

الاحتمالات و الاحصاء

نظرية التحكم

بحوث العمليات

نظرية الكم

الشفرات

الرياضيات التطبيقية

نظريات ومبرهنات


علماء الرياضيات

500AD

500-1499

1000to1499

1500to1599

1600to1649

1650to1699

1700to1749

1750to1779

1780to1799

1800to1819

1820to1829

1830to1839

1840to1849

1850to1859

1860to1864

1865to1869

1870to1874

1875to1879

1880to1884

1885to1889

1890to1894

1895to1899

1900to1904

1905to1909

1910to1914

1915to1919

1920to1924

1925to1929

1930to1939

1940to the present

علماء الرياضيات

الرياضيات في العلوم الاخرى

بحوث و اطاريح جامعية

هل تعلم

طرائق التدريس

الرياضيات العامة

نظرية البيان
Differentiation and Integration in RN-The Riemann Integral in RN
المؤلف:
Murray H. Protter
المصدر:
Basic Elements of Real Analysis
الجزء والصفحة:
145-149
30-11-2016
1472
Differentiation and Integration in RN-The Riemann Integral in RN
The method of extending the Riemann integral from R1 to RN is similar to the extension of the Darboux integral described in Section of (The Darboux Integral in RN)
Definitions
Let A be a set in a metric space S with metric d. We define the diameter of A as the sup d(x, y), where the supremum is taken over all x, y in A. The notation diam A is used for the diameter of A. Suppose that F isa domain in RN and that Δ ={F1,F2,...,Fn} is a subdivision of F. The mesh of Δ, denoted by Δ, is the maximum of the diameters of F1,F2,...,Fn.
Definition
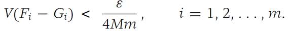
Let f be a function from F, a domain in RN into R1. Then f is Riemann integrable on F if there is a number L with the following property: For each ε> 0 there is a δ> 0 such that if Δ is any subdivision of F with Δ<δ, and xi∈ Fi , i = 1, 2,...,n, then

This inequality must hold no matter how the xi are chosen in the Fi . The number L is called the Riemann integral of over , and we use the notation

for this value.
We recall that in R1 the Darboux and Riemann integrals are the same. The next two theorems state that the same result holds for integrals in RN.
Theorem 1.1
Let F be a domain in RN and suppose that f :F → R1 is Riemann integrable on F. Then f is Darboux integrable on F, and the two integrals are equal. The converse of Theorem 1.1 is contained in the following result.
Theorem 1.2
Let F be a domain in RN and suppose that f :F → R1 is bounded on F. Then
- for each ε> 0 there is an ε> 0 such that(1.1)

for every subdivision of mesh ||Δ||<δ;
(b) if f is Darboux integrable on F, then it is Riemann integrable on F, and
the integrals are equal.
Proof
Observe that (b) is an immediate consequence of (a), since each Riemann sum is between S−(f,Δ) and S+(f,Δ).Hence, if

This value is also the value of the Riemann integral.
We shall prove only the first inequality in (1.1), because the proof of the second is similar.
Since f is bounded, there is a number M such that |f(x)|≤ M for all x ∈ F. Let ε> 0 be given. According to the definition of upper Darboux integral, there is a subdivision Δ0 ={F1,F2,...,Fm} such that(1.2)

Define F(0)I to be the set of interior points of Fi . It may happen that F(0)I is empty for some values of i. For each F(0)I that is not empty, we select a closed domain Gi contained in F(0)I such that

It is not difficult to verify that such closed domains G1,G2,...,Gm can always be found. For example, each Gi may be chosen as the union of closed hypercubes interior to Fi for a sufficiently small grid size.
Since each set Gi is closed and is contained in F(0)i, there is a positive number δ such that every ball B(x, δ) with x in some Gi has the property that B(x, δ) is contained in the corresponding set F(0)I . Let Δ be any sub division with mesh less than δ. We shall show that the first inequality in (1.2) holds for this subdivision.
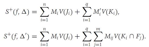
We separate the domains of Δ into two classes: J1,J2,...,Jn are those domains Δ1 of Δ containing points of some Gi ; K1,K2,...,Kq are the remaining domains of Δ, denoted by Δ0. Denote by Δ0.
the common refinement of Δ1 and Δ0. Because of the manner in which we chose Δ, each Ji is contained entirely in some F(0)k . Therefore, J1,J2,...,Jn are domains in the refinement Δ/ . The remaining domains of Δ/ are composed of the sets Ki ∩ Fj , i = 1, 2,...,q; j = 1, 2,...,m. We have the inequality

We introduce the notation

Using the definitions of S+(f,Δ) and S+(f,Δ/), we obtain

Now it is clear that

Therefore, by subtraction, it follows that

We have

Combining this fact with inequalities

which is the first inequality in part (a) of the theorem.
Theorem 1.1 leads to the following result (stated without proof) on interchanging the order of integration in multiple integrals.
Theorem 1.2
Suppose that F is a domain in RM and that Gx is a domain in RN for each x ∈ F. Define B ={(x, y): x ∈ F, y ∈ Gx for each such x}. Let f :B → R1 be integrable over B and suppose that f is integrable over Gx for each x ∈ F.
Then the function

is integrable over F, and


Figure 1.1 B ={(x, y) : a ≤ x ≤ b, y ∈ Gx}.
Figure 1.1 shows a simple illustration of the theorem for functions on R2. Let B ={(x, y) : a ≤ x ≤ b, g(x) ≤ y ≤ h(x)}. Then F ={x : a ≤ x ≤ b} and Gx ={y : g(x) ≤ y ≤ h(x) for each x}. The theorem states that

Problems
1. Prove that the Riemann integral of a function in RN is unique.
2. Suppose that F is a domain in RN for N ≥ 2 and that f : F → R1 is Riemann integrable on F. Show that f need not be bounded on F.
Basic Elements of Real Analysis, Murray H. Protter, Springer, 1998 .Page(145-149)
الاكثر قراءة في التحليل الحقيقي
اخر الاخبار
اخبار العتبة العباسية المقدسة
الآخبار الصحية

قسم الشؤون الفكرية يصدر كتاباً يوثق تاريخ السدانة في العتبة العباسية المقدسة
"المهمة".. إصدار قصصي يوثّق القصص الفائزة في مسابقة فتوى الدفاع المقدسة للقصة القصيرة
(نوافذ).. إصدار أدبي يوثق القصص الفائزة في مسابقة الإمام العسكري (عليه السلام)