

تاريخ الرياضيات

الاعداد و نظريتها

تاريخ التحليل

تار يخ الجبر

الهندسة و التبلوجي


الرياضيات في الحضارات المختلفة

العربية

اليونانية

البابلية

الصينية

المايا

المصرية

الهندية


الرياضيات المتقطعة

المنطق

اسس الرياضيات

فلسفة الرياضيات

مواضيع عامة في المنطق


الجبر

الجبر الخطي

الجبر المجرد

الجبر البولياني

مواضيع عامة في الجبر

الضبابية

نظرية المجموعات

نظرية الزمر

نظرية الحلقات والحقول

نظرية الاعداد

نظرية الفئات

حساب المتجهات

المتتاليات-المتسلسلات

المصفوفات و نظريتها

المثلثات


الهندسة

الهندسة المستوية

الهندسة غير المستوية

مواضيع عامة في الهندسة

التفاضل و التكامل


المعادلات التفاضلية و التكاملية

معادلات تفاضلية

معادلات تكاملية

مواضيع عامة في المعادلات


التحليل

التحليل العددي

التحليل العقدي

التحليل الدالي

مواضيع عامة في التحليل

التحليل الحقيقي

التبلوجيا

نظرية الالعاب

الاحتمالات و الاحصاء

نظرية التحكم

بحوث العمليات

نظرية الكم

الشفرات

الرياضيات التطبيقية

نظريات ومبرهنات


علماء الرياضيات

500AD

500-1499

1000to1499

1500to1599

1600to1649

1650to1699

1700to1749

1750to1779

1780to1799

1800to1819

1820to1829

1830to1839

1840to1849

1850to1859

1860to1864

1865to1869

1870to1874

1875to1879

1880to1884

1885to1889

1890to1894

1895to1899

1900to1904

1905to1909

1910to1914

1915to1919

1920to1924

1925to1929

1930to1939

1940to the present

علماء الرياضيات

الرياضيات في العلوم الاخرى

بحوث و اطاريح جامعية

هل تعلم

طرائق التدريس

الرياضيات العامة

نظرية البيان
Basic Properties of Functions on R1 -Uniform Continuity
المؤلف:
Murray H. Protter
المصدر:
Basic Elements of Real Analysis
الجزء والصفحة:
57-60
23-11-2016
1717
In the definition of continuity of a function f at a point x0, it is necessary to obtain a number δ for each positive number ε prescribed in advance The number δ, which naturally depends on ε, also depends on the particular value x0. Under certain circumstances it may happen that the same value δ may be chosen for all points x in the domain. Then we say that f is uniformly continuous.
Definition
A function f with domain S is said to be uniformly continuous on S if for every ε> 0 there is a δ> 0 such that
|f(x1) − f(x2)| <ε whenever |x1 − x2| <δ
and x1,x2 are in S. The important condition of uniform continuity states that the same value of δ holds for all x1,x2 in S.
Among the properties of continuous functions used in proving the basic theorems of integral calculus, that of uniform continuity plays a central role. The principal result of this section (Theorem 1.1 below) shows that under rather simple hypotheses continuous functions are uniformly continuous.

Figure 1.1
A function may be continuous on a set S without being uniformly continuous. As Figure 1.1 shows, once an ε is given, the value of δ required n the definition of ordinary continuity varies according to the location of x1 and x2; the “steeper” the function, the smaller the value of δ required. As an example of a continuous function that is not uniformly continuous, consider

defined on the set S ={x :0 <x ≤ 1}. It is clear that f is continuous for each x in S. However, with ε any positive number, say 1, we shall show
there is no number δ such that
|f(x1) − f(x2)| < 1 whenever |x1 − x2| <δ
for all x1,x2 in S. To see this we choose x1 = 1/n and x2 = 1/(n + 1) for a positive integer n. Then |f(x1) − f(x2)|=|n − (n + 1)|= 1; also, we have |x1 − x2|= 1/(n(n + 1)).If n is very large, then x1 and x2 are close together. Therefore, if a δ is given, simply choose n so large that x1 and x2 are closer together than δ. The condition of uniform continuity is violated, since f(x1) and f(x2) may not be “close.”
An example of a uniformly continuous function on a set S is given by(1.6)

on the domain S ={x :0 ≤ x ≤ 1}. To see this, suppose ε> 0 is given.
We must find a δ> 0 such that

whenever |x1 − x2| <δ
for all x1,x2 in S. To accomplish this, choose δ = ε/2. Then, because 0 ≤ x1 ≤ 1 and 0 ≤ x2 ≤ 1, we have

This inequality holds for all x1,x2 on [0, 1] such that |x1 − x2| <δ.
The same function (1.6) above defined on the domain S1 ={x :0 ≤ x< ∞} is not uniformly continuous there. To see this, suppose ε> 0 Is given. Then for any δ> 0, choose x1,x2 such that x1 − x2 = δ/2 and x1 + x2 = 4ε/δ. Then we have

The condition of uniform continuity is violated for this x1,x2. An important criterion for determining when a function is uniformly continuous is established in the next result.
Theorem 1.1 (Uniform continuity Theorem)
If f is continuous on the closed interval I ={x:a ≤ x ≤ b}, then f is uniformly continuous on I.
Proof
We shall suppose that f is not uniformly continuous on I and reach a contradiction. If f is not uniformly continuous, there is an ε0 > 0for which there is no δ> 0 with the property that |f(x1) − f(x2)| <ε0 for all pairs x1,x2 ∈ I and such that |x1 − x2| <δ. Then for each positive integer n, there is a pair x/n,x//n on I such that(1.7)

From the Bolzano–Weierstrass theorem, it follows that there is a subse-quence of {x/n}, which we denote {x/kn}, convergent to some number x0 in I. Then, since |x/kn− x//kn| < 1/n, we see that x//kn→ x0 as n →∞. Using the fact that f is continuous on I, we havef(x/kn) → f(x0), f(x//kn) → f(x0).
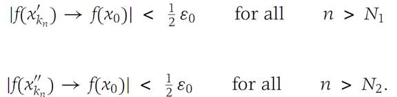
That is, there are positive integers N1 and N2 such that

Hence for all n larger than both N1 and N2 we find

This last inequality contradicts (1.7), and the result is established. As the example of the function f : x → 1/x shows, the requirement that I be a closed interval is essential. Also, the illustration of the function f : x → x2 on the set S1 ={x :0 ≤ x< ∞} shows that Theorem1.11 does not apply if the interval is unbounded. It may happen that continuous functions are uniformly continuous on unbounded sets. But these must be decided on a case-by-case basis. See Problems 3 and 4 at the end of the section.
Problems
1. Suppose that f is a continuous, increasing function on a closed interval I ={x : a ≤ x ≤ b}. Show that the range of f is the interval [f(a), f(b)].
2. Suppose that f is uniformly continuous on the closed intervals I1
and I2. Show that f is uniformly continuous on S = I1 ∪ I2.
3. Show that the function f : x → 1/x is uniformly continuous on S ={x :1 ≤ x< ∞}.
Basic Elements of Real Analysis, Murray H. Protter, Springer, 1998 .Page(57-60)
الاكثر قراءة في التحليل الحقيقي
اخر الاخبار
اخبار العتبة العباسية المقدسة
الآخبار الصحية

قسم الشؤون الفكرية يصدر كتاباً يوثق تاريخ السدانة في العتبة العباسية المقدسة
"المهمة".. إصدار قصصي يوثّق القصص الفائزة في مسابقة فتوى الدفاع المقدسة للقصة القصيرة
(نوافذ).. إصدار أدبي يوثق القصص الفائزة في مسابقة الإمام العسكري (عليه السلام)