

تاريخ الرياضيات

الاعداد و نظريتها

تاريخ التحليل

تار يخ الجبر

الهندسة و التبلوجي


الرياضيات في الحضارات المختلفة

العربية

اليونانية

البابلية

الصينية

المايا

المصرية

الهندية


الرياضيات المتقطعة

المنطق

اسس الرياضيات

فلسفة الرياضيات

مواضيع عامة في المنطق


الجبر

الجبر الخطي

الجبر المجرد

الجبر البولياني

مواضيع عامة في الجبر

الضبابية

نظرية المجموعات

نظرية الزمر

نظرية الحلقات والحقول

نظرية الاعداد

نظرية الفئات

حساب المتجهات

المتتاليات-المتسلسلات

المصفوفات و نظريتها

المثلثات


الهندسة

الهندسة المستوية

الهندسة غير المستوية

مواضيع عامة في الهندسة

التفاضل و التكامل


المعادلات التفاضلية و التكاملية

معادلات تفاضلية

معادلات تكاملية

مواضيع عامة في المعادلات


التحليل

التحليل العددي

التحليل العقدي

التحليل الدالي

مواضيع عامة في التحليل

التحليل الحقيقي

التبلوجيا

نظرية الالعاب

الاحتمالات و الاحصاء

نظرية التحكم

بحوث العمليات

نظرية الكم

الشفرات

الرياضيات التطبيقية

نظريات ومبرهنات


علماء الرياضيات

500AD

500-1499

1000to1499

1500to1599

1600to1649

1650to1699

1700to1749

1750to1779

1780to1799

1800to1819

1820to1829

1830to1839

1840to1849

1850to1859

1860to1864

1865to1869

1870to1874

1875to1879

1880to1884

1885to1889

1890to1894

1895to1899

1900to1904

1905to1909

1910to1914

1915to1919

1920to1924

1925to1929

1930to1939

1940to the present

علماء الرياضيات

الرياضيات في العلوم الاخرى

بحوث و اطاريح جامعية

هل تعلم

طرائق التدريس

الرياضيات العامة

نظرية البيان
Basic Properties of Functions on R1 -The Cauchy Criterion
المؤلف:
Murray H. Protter
المصدر:
Basic Elements of Real Analysis
الجزء والصفحة:
61-63
23-11-2016
1303
We recall the definition of a convergent sequence x1,x2,...,xn,....A sequence converges to a limit L if for every ε> 0 there is a positive integer N such that
(1.8) |xn − L| <ε whenever n>N.
| − |
Suppose we are given a sequence and wish to examine the possibility of convergence. Usually the number L is not given, so that condition (1.8) above cannot be verified directly. For this reason it is important to have a technique for deciding convergence that doesn’t employ the limit L of the sequence. Such a criterion, presented below, was given first by Cauchy.
Definition
An infinite sequence {xn} is called a Cauchy sequence if and only if for each ε> 0, there is a positive integer N such that |xn − xm| <ε for all m>N and all n>N.
Theorem 1.1 (Cauchy criterion for convergence)
A necessary and sufficient condition for convergence of a sequence {xn} is that it be a Cauchy sequence.
Proof
We first show that if {xn} is convergent, then it is a Cauchy sequence. Suppose L is the limit of {xn}, and let ε> 0 be given. Then from the definition of convergence there is an N such that

Let xm be any element of {xn} with m>N. We have

Thus {xn} isa Cauchy sequence.
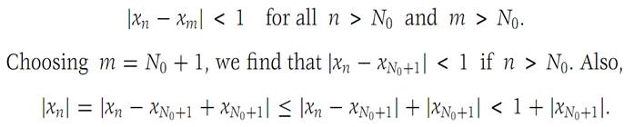
Now assume that {xn} is a Cauchy sequence; we wish to show that it Is convergent. We first prove that {xn} is a bounded sequence. From the definition of Cauchy sequence with ε = 1, there is an integer N0 such that

Keep N0 fixed and observe that all |xn| beyond xN0 are bounded by 1 + |xN0+1|, a fixed number. Now examine the finite sequence of numbers |x1|, |x2|,..., |xN0 |, |xN0+1|+ 1
and denote by M the largest of these. Therefore, |xn|≤ M for all positive integers n, and so {xn} is a bounded sequence. We now apply the Bolzano–Weierstrass theorem and conclude that there is a subsequence {xkn } of {xn} that converges to some limit L. We shall show that the sequence {xn} itself converges to L. Let ε> 0 be given. Since {xn} is a Cauchy sequence, there is an N1 such that

Also, since {xkn } converges to L, there is an N2 such that

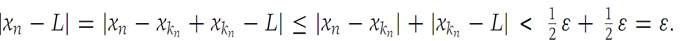
Let N be the larger of N1 and N2, and consider any integer n larger than N.We recall from the definition of subsequence of a sequence that kn ≥ n for every n. Therefore,

Since this inequality holds for all n>N, the sequence {xn} converges to L.
As an example, we show that the sequence xn = (cos nπ)/n, n= 1, 2,..., is a Cauchy sequence. Let ε> 0 be given. Choose N to be any integer larger than 2/ε. Then we have

If m>n, we may write

However, because n>N, we have n> 2/ε, and so |xn − xm| <ε, and the sequence is a Cauchy sequence.
Basic Elements of Real Analysis, Murray H. Protter, Springer, 1998 .Page(61-63)
الاكثر قراءة في التحليل الحقيقي
اخر الاخبار
اخبار العتبة العباسية المقدسة
الآخبار الصحية

قسم الشؤون الفكرية يصدر كتاباً يوثق تاريخ السدانة في العتبة العباسية المقدسة
"المهمة".. إصدار قصصي يوثّق القصص الفائزة في مسابقة فتوى الدفاع المقدسة للقصة القصيرة
(نوافذ).. إصدار أدبي يوثق القصص الفائزة في مسابقة الإمام العسكري (عليه السلام)