

تاريخ الرياضيات

الاعداد و نظريتها

تاريخ التحليل

تار يخ الجبر

الهندسة و التبلوجي


الرياضيات في الحضارات المختلفة

العربية

اليونانية

البابلية

الصينية

المايا

المصرية

الهندية


الرياضيات المتقطعة

المنطق

اسس الرياضيات

فلسفة الرياضيات

مواضيع عامة في المنطق


الجبر

الجبر الخطي

الجبر المجرد

الجبر البولياني

مواضيع عامة في الجبر

الضبابية

نظرية المجموعات

نظرية الزمر

نظرية الحلقات والحقول

نظرية الاعداد

نظرية الفئات

حساب المتجهات

المتتاليات-المتسلسلات

المصفوفات و نظريتها

المثلثات


الهندسة

الهندسة المستوية

الهندسة غير المستوية

مواضيع عامة في الهندسة

التفاضل و التكامل


المعادلات التفاضلية و التكاملية

معادلات تفاضلية

معادلات تكاملية

مواضيع عامة في المعادلات


التحليل

التحليل العددي

التحليل العقدي

التحليل الدالي

مواضيع عامة في التحليل

التحليل الحقيقي

التبلوجيا

نظرية الالعاب

الاحتمالات و الاحصاء

نظرية التحكم

بحوث العمليات

نظرية الكم

الشفرات

الرياضيات التطبيقية

نظريات ومبرهنات


علماء الرياضيات

500AD

500-1499

1000to1499

1500to1599

1600to1649

1650to1699

1700to1749

1750to1779

1780to1799

1800to1819

1820to1829

1830to1839

1840to1849

1850to1859

1860to1864

1865to1869

1870to1874

1875to1879

1880to1884

1885to1889

1890to1894

1895to1899

1900to1904

1905to1909

1910to1914

1915to1919

1920to1924

1925to1929

1930to1939

1940to the present

علماء الرياضيات

الرياضيات في العلوم الاخرى

بحوث و اطاريح جامعية

هل تعلم

طرائق التدريس

الرياضيات العامة

نظرية البيان
Basic Properties of Functions on R1 -Least Upper Bound; Greatest Lower Bound
المؤلف:
Murray H. Protter
المصدر:
Basic Elements of Real Analysis
الجزء والصفحة:
44-53
22-11-2016
1380
In this section we prove an important principle about real numbers that is often used as an axiom in place of Axiom C.
Definitions
A set S of real numbers has the upper bound M if x ≤ M for every number x in S; we also say that the set S is bounded above by M. The set S has the lower bound m if x ≥ m for every number x in S; we also say that S is bounded below by m. A set S is bounded if S has an upper and a lower bound. Suppose that f is a function on R1 whose domain D contains the set S. We denote by f |S the restriction of to the set S; that is, f |S has domain S and f |S(x) f(x) for all x in S. A function f is bounded above, bounded below, or bounded if the set R consisting of the range of f satisfies the corresponding condition.
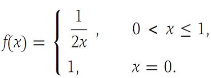
Suppose we define

Then f is not bounded on S ={x :0 ≤ x ≤ 1}. See Figure 1.1.
Figure 1.1
We now prove the fundamental principle on upper and lower bounds (see Figure 1.2).

Figure 1.2 U is the least upper bound for S.
Theorem 1.1
If a nonempty set S ⊂ R1 has an upper bound M, then it has a least upper bound U; that is, there is a unique number U that is an upper bound for S but is such that no number U`<U is an upper bound for S. If a nonempty set has a lower bound m, it has a greatest lower bound L.
Proof
The second statement follows by applying the first to the set S/={x :−x ∈ S}.We prove the first statement using the Nested intervals theorem.
If M ∈ S, then we may take U= M, since in this case every x in S is less than or equal to U, and if U/<U, then U/is not an upper bound, since U ∈ S and U>U/.If M is not in S, let b1 =M and choose a1 as any point of S. Now, either (a1 + b1)/2 is greater than every x in S, or there is some x in S greater than or equal to (a1 + b1)/2. In the first case, if we define a2 = a1 and b2 = (a1 + b1)/2, then a2 ∈ S and b2 is greater than every x in S. In the second case, choose for a2 one of the numbers in S that is greater than or equal to (a1 + b1)/2 and set b2 = b1; then we again have a2 ∈ S and b2 greater than every x in S. Continuing in this way, we define an infinite sequence {[an,bn]} of closed intervals such that(1.2)

for each n, and so for each n,(1,3)

From the Nested intervals theorem, it follows that there is a unique number U in all these intervals and

Let x be any number in S. Then x<bn for each n, so that x ≤ U by the limit of inequalities. Thus U is an upper bound for S. But now let U/<U and let ε = U – U/ . Then, since an → U, it follows that there is an N such that U/=U − ε<an ≤ U for all n>N. But since all the an ∈ S, it is clear that U/ is not an upper bound. Therefore, U is unique.
Definitions
The number U in Theorem 1.1, the least upper bound, is also called the supremum of S and is denoted by
l. u .b. S or sup S.
The number L of Theorem 1.1, the greatest lower bound, is also called the infimum of S and is denoted by
g. l .b. S or in f S.
Corollary
If x0 is the largest number in S, that is, if x0 ∈ S and x0 is larger than every other number in S, then x0 = sup S. If S is not empty and U= sup S, with U not in S, then there is a sequence {xn} such that each xn is in S and xn → U. Also, if ε> 0 is given, there is an x in S such that x>U − ε. Corresponding results hold for in f S.
These results follow from the definitions and from the proof of Theorem 1.1 With the help of this corollary it is possible to show that the Axiom of Continuity is a consequence of Theorem 1.1.
Definitions
Let f have an interval I of R1 as its domain and a set in R1 as its range.
We say that f is increasing on I if f(x2)>f(x1) whenever x2 >x1. The
function f is non decreasing on I if f(x2) ≥ f(x1) whenever x2 >x1. The
function f is decreasing on I if f(x2)<f(x1) whenever x2 >x1. The
function f is non increasing on I if f(x2) ≤ f(x1) whenever x2 >x1.A
function that has any one of these four properties is called monotone
on I.
Monotone functions are not necessarily continuous, as the following step function exhibits:

See Figure 1.3. Also, monotone functions may not be bounded. The function f : x → 1/(1 − x) is monotone on the interval I ={x :0 ≤ x< 1} but is not bounded there.

Figure 1.3 A step function.
If a function f defined on an interval I is continuous on I, then an extension of the Intermediate-value theorem shows that the range of f is an interval. In order to establish this result, we use the following characterization of an interval on R1.
Theorem 1.2
A set S in R1is an interval ⇔ (i) S contains more than one point and (ii) for every x1,x2 ∈ S the number x is in S whenever x ∈ (x1,x2).
Proof
If S is an interval, then clearly the two properties hold. Therefore, we suppose that (i) and (ii) hold and show that S is an interval. We consider two cases.
Case 1: S is bounded. Define a = inf S and b =sup S. Let x be an element of the open interval (a, b). We shall show that x ∈ S.
Since a = inf S, we use the corollary to Theorem 1.1 to assert that there is an x1 ∈ S with x1 <x. Also, since b = sup S, there is an x2 in S with x2 >x. Hence x ∈ (x1,x2), which by (ii) of the hypothesis shows that x ∈ S. We conclude that every element of (a, b) is in S. Thus S is either a closed interval, an open interval, or a half-open interval; its endpoints are a, b.
Case 2: S is unbounded in one direction. Assume that S is unbounded above and bounded below, the case of S bounded above and unbounded below being similar. Let a= inf S. Then S ⊂ [a,∞). Let x be any number such that x>a. We shall show that x ∈ S. As in Case 1, there is a number x1 ∈ S such that x1 <x. Since S has no upper bound there is an x2 ∈ S such that x2 >x. Using (ii) of the hypothesis, we conclude that x ∈ S. Therefore, S = [a,∞) or S= (a,∞).
We now establish a stronger form of the Intermediate-value theorem.
Theorem 1.3
Suppose that the domain of f is an interval I and f is continuous on I. Assume that f is not constant on I. Then the range of f , denoted by J , is an interval.
Proof
We shall show that J has properties(i) and (ii) of Theorem 1.2 and therefore is an interval. Since f is not constant, its range must have more than one point, and property (i) is established. Now let y1,y2 ∈ J . Then there are numbers x1,x2 ∈ I such that f(x1) = y1 and f(x2) = y2. We may assume that x1 <x2. The function f is continuous on [x1,x2], and so we may apply the Intermediate-value theorem. If c is any number between y1 and y2, there is an x0 ∈ [x1,x2] such that f(x0) = c. Thus c ∈ J , and we have established property (ii). The set J is an interval.
If f is continuous on I ={x : a ≤ x ≤ b}, it is not necessarily the case that J is determined by f(a) and f(b). Figure 1.4 shows that J may exceed the interval [f(a), f(b)]. In fact, I may be bounded and J unbounded, as is illustrated by the function f : x → 1/x with I ={x :0 <x< 1}.The range is J ={y :1 <y< ∞}. The function f : x → 1/(1 + x2) with I ={x :0 <x< ∞} and J ={y :0 <y< 1} is an example of a continuous function with an unbounded domain and a bounded range.
Consider the restriction to [0,∞) of the function f : x → xn where n is a positive integer. By Theorem1.3, the range of f is an interval, which must be [0,∞), since f(0) = 0, f is increasing, and f(x) →+∞ as x →+∞.
Hence, for each x ≥ 0, there isat least one number y ≥ 0 such that yn = x. If y/>y, then (y/)n >yn = x. Also, if 0 ≤ y/<y, then (y/)n <x.
Thus the solution y is unique. We denote it by x1/n. Every positive number has an nth root for every positive integer n. The function x → x1/n, x ≥ 0, can be shown to be continuous on [0,∞).

Figure 1.4
Problems
In Problems1 through 8 find l.u.b. S and g.l.b. S. State whether or not these numbers are in S.

Basic Elements of Real Analysis, Murray H. Protter, Springer, 1998 .Page(44-53)
الاكثر قراءة في التحليل الحقيقي
اخر الاخبار
اخبار العتبة العباسية المقدسة
الآخبار الصحية

قسم الشؤون الفكرية يصدر كتاباً يوثق تاريخ السدانة في العتبة العباسية المقدسة
"المهمة".. إصدار قصصي يوثّق القصص الفائزة في مسابقة فتوى الدفاع المقدسة للقصة القصيرة
(نوافذ).. إصدار أدبي يوثق القصص الفائزة في مسابقة الإمام العسكري (عليه السلام)