

تاريخ الرياضيات

الاعداد و نظريتها

تاريخ التحليل

تار يخ الجبر

الهندسة و التبلوجي


الرياضيات في الحضارات المختلفة

العربية

اليونانية

البابلية

الصينية

المايا

المصرية

الهندية


الرياضيات المتقطعة

المنطق

اسس الرياضيات

فلسفة الرياضيات

مواضيع عامة في المنطق


الجبر

الجبر الخطي

الجبر المجرد

الجبر البولياني

مواضيع عامة في الجبر

الضبابية

نظرية المجموعات

نظرية الزمر

نظرية الحلقات والحقول

نظرية الاعداد

نظرية الفئات

حساب المتجهات

المتتاليات-المتسلسلات

المصفوفات و نظريتها

المثلثات


الهندسة

الهندسة المستوية

الهندسة غير المستوية

مواضيع عامة في الهندسة

التفاضل و التكامل


المعادلات التفاضلية و التكاملية

معادلات تفاضلية

معادلات تكاملية

مواضيع عامة في المعادلات


التحليل

التحليل العددي

التحليل العقدي

التحليل الدالي

مواضيع عامة في التحليل

التحليل الحقيقي

التبلوجيا

نظرية الالعاب

الاحتمالات و الاحصاء

نظرية التحكم

بحوث العمليات

نظرية الكم

الشفرات

الرياضيات التطبيقية

نظريات ومبرهنات


علماء الرياضيات

500AD

500-1499

1000to1499

1500to1599

1600to1649

1650to1699

1700to1749

1750to1779

1780to1799

1800to1819

1820to1829

1830to1839

1840to1849

1850to1859

1860to1864

1865to1869

1870to1874

1875to1879

1880to1884

1885to1889

1890to1894

1895to1899

1900to1904

1905to1909

1910to1914

1915to1919

1920to1924

1925to1929

1930to1939

1940to the present

علماء الرياضيات

الرياضيات في العلوم الاخرى

بحوث و اطاريح جامعية

هل تعلم

طرائق التدريس

الرياضيات العامة

نظرية البيان
Basic Properties of Functions on R1 - The Intermediate-Value Theorem
المؤلف:
Murray H. Protter
المصدر:
Basic Elements of Real Analysis
الجزء والصفحة:
42-44
22-11-2016
1303
The proofs of many theorems of calculus require a knowledge of the basic properties of continuous functions. In this section we establish the Intermediate-value theorem, an essential tool used in the proofs of the Fundamental theorem of calculus and the Mean-value theorem.
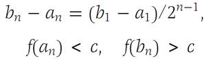
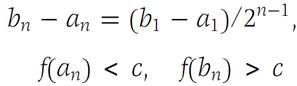
Theorem 1.1 (Nested intervals theorem)
Suppose that

is a sequence of closed intervals such that In+1 ⊂ In for each n .If limn→∞ (bn−an) = 0, then there is one and only one number x0 that is in every In.
By hypothesis, we have an ≤ an+1 and bn ≤ bn+1. Since an <bn for every n, the sequence {an} is nondecreasing and bounded from above by b1 (see Figure 1.1). Similarly, the sequence bn is nonincreasing and bounded from below by a1. Using Axiom C, we conclude that there are
numbers x0 and x/ 0 such that an → x0, an ≤ x0, and bn → x/ 0, bn ≥ x/ 0,as n →∞. Using the fact that bn − an → 0, n →∞, we find that x0 = x/0and

for every n. Thus x0 is in every In.

Figure 1.1 Nested intervals.
The hypothesis that each In is closed is essential. The sequence of half-open intervals

Has the property that In+1 ⊂ In for every n. Since no In contains0, any number x0 in all the In must be positive. But then by choosing N> 1/x0, we see that x0 cannot belong to IN ={x :0 <x ≤ 1/N}. Although the intervals In are nested, they have no point in common.
Before proving the main theorem, we prove the following result, which we shall use often in this chapter.
Theorem 1.2
Suppose f is continuous on [a,b], xn ∈ [a,b] for each n, and xn → x0. Then x0 ∈ [a,b] and f(xn) → f(x0).
Since xn ≥ a for each n, it follows from the theorem on the limit of inequalities for sequences that x0 ≥ a. Similarly, x0 ≤ b so x0 ∈ [a, b].
If a<x0 <b, then f(xn) → f(x0) on account of the composite function theorem (Theorem (Limit of a composite function) Suppose that f and g are functions on R1 to R1. Define the composite function h(x) = f [g(x)].If f is continuous at L and if g(x) → L as x → a, then,
)
The same conclusion holds if x0 = a or b. A detailed proof of the last sentence is left to the reader.
We now establish the main theorem of this section.
Theorem 1.3 (Intermediate-value theorem)
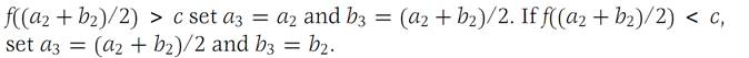
Suppose f is continuous on [a,b], c ∈ R1, f(a)<c, and f(b)>c. Then there is at least one number x0 on [a,b] such that f(x0) =c.
Note that there may be more than one such x0, as indicated in Figure 1.2.
Define a1 = a and b1 = b. Then observe that f((a1 +b1)/2) is either equal to c, greater than c, or less than c. If it equals c, choose x0 = (a1 + b1)/2 and the result is proved. If f((a1 + b1)/2)>c, then define a2 = a1 and b2 =(a1 + b1)/2. If f((a1 + b1)/2)<c, then define a2 = ((a1 + b1)/2)and b2 b1.
In each of the last two cases we have f(a2)<c and f(b2)>c. Again compute f((a2 + b2)/2). If this value equals c, the result is proved. If


Figure 1.2 Illustrating the Intermediate-value theorem.
Continuing in this way, either we find a solution in a finite number of steps or we find a sequence {[an,bn]} of closed intervals each of which is one of the two halves of the preceding one, and for which we have(1.1)
for each n.
From the Nested intervals theorem it follows that there is a unique point x in all these intervals and that
From Theorem 1.2, we conclude that
From inequalities(1.1) and the limit of inequalities it follows that f(x0) ≤ c
and f(x0) ≥ c, so that f(x0) = c.
Problems
- Given the function

(a) Show that f is not continuous at any x0.
(b) Let g be a function with domain all of R1.If g(x)= 1if x is rational and if g is continuous for all x, show that g(x) = 1forx ∈ R1.
2. Prove the last sentence of Theorem 1.2.
Basic Elements of Real Analysis, Murray H. Protter, Springer, 1998 .Page(42-44)
الاكثر قراءة في التحليل الحقيقي
اخر الاخبار
اخبار العتبة العباسية المقدسة
الآخبار الصحية

قسم الشؤون الفكرية يصدر كتاباً يوثق تاريخ السدانة في العتبة العباسية المقدسة
"المهمة".. إصدار قصصي يوثّق القصص الفائزة في مسابقة فتوى الدفاع المقدسة للقصة القصيرة
(نوافذ).. إصدار أدبي يوثق القصص الفائزة في مسابقة الإمام العسكري (عليه السلام)