

تاريخ الرياضيات

الاعداد و نظريتها

تاريخ التحليل

تار يخ الجبر

الهندسة و التبلوجي


الرياضيات في الحضارات المختلفة

العربية

اليونانية

البابلية

الصينية

المايا

المصرية

الهندية


الرياضيات المتقطعة

المنطق

اسس الرياضيات

فلسفة الرياضيات

مواضيع عامة في المنطق


الجبر

الجبر الخطي

الجبر المجرد

الجبر البولياني

مواضيع عامة في الجبر

الضبابية

نظرية المجموعات

نظرية الزمر

نظرية الحلقات والحقول

نظرية الاعداد

نظرية الفئات

حساب المتجهات

المتتاليات-المتسلسلات

المصفوفات و نظريتها

المثلثات


الهندسة

الهندسة المستوية

الهندسة غير المستوية

مواضيع عامة في الهندسة

التفاضل و التكامل


المعادلات التفاضلية و التكاملية

معادلات تفاضلية

معادلات تكاملية

مواضيع عامة في المعادلات


التحليل

التحليل العددي

التحليل العقدي

التحليل الدالي

مواضيع عامة في التحليل

التحليل الحقيقي

التبلوجيا

نظرية الالعاب

الاحتمالات و الاحصاء

نظرية التحكم

بحوث العمليات

نظرية الكم

الشفرات

الرياضيات التطبيقية

نظريات ومبرهنات


علماء الرياضيات

500AD

500-1499

1000to1499

1500to1599

1600to1649

1650to1699

1700to1749

1750to1779

1780to1799

1800to1819

1820to1829

1830to1839

1840to1849

1850to1859

1860to1864

1865to1869

1870to1874

1875to1879

1880to1884

1885to1889

1890to1894

1895to1899

1900to1904

1905to1909

1910to1914

1915to1919

1920to1924

1925to1929

1930to1939

1940to the present

علماء الرياضيات

الرياضيات في العلوم الاخرى

بحوث و اطاريح جامعية

هل تعلم

طرائق التدريس

الرياضيات العامة

نظرية البيان
Basic Properties of Functions on R1 -The Bolzano–Weierstrass Theorem
المؤلف:
Murray H. Protter
المصدر:
Basic Elements of Real Analysis
الجزء والصفحة:
53 -55
23-11-2016
866
Suppose that
(1.4) x1,x2,...,xn,...
is a sequence of numbers. Then the sequences x1,x3,x5,... and x2,x5,x8,x11,... are examples of subsequences of (1.4). More generally, suppose that k1,k2,k3,...,kn,... is an increasing sequence of positive integers. Then we say that
xk1 ,xk2 ,...,xkn ,...
is a subsequence of (1.4). The choice k1 = 1,k2 = 3,k3 = 5,k4 = 7,... is an example of a subsequence of (1.4) above. To avoid double subscripts, which are cumbersome, we will frequently write y1 = xk1 ,y2 =xk2 ,...,yn = xkn ,..., in which case
y1,y2,...,yn,...
is a subsequence of (1.4).
We easily prove by induction that if k1,k2,k3,...,kn,... is an increasing sequence of positive integers, then kn ≥ n for all n .The sequence(1.5)

has the subsequences

which are obtained from (1.5) by taking the odd-numbered terms and the even-numbered terms, respectively. Each of these subsequences is convergent, but the original sequence (1.5) is not. The notion of a convergent subsequence of a given sequence occurs frequently in problems in analysis. The Bolzano–Weierstrass theorem is basic in that it establishes the existence of such convergent subsequences under very simple hypotheses on the given sequence.
Theorem 1.1 (Bolzano–Weierstrass Theorem)
Any bounded infinite sequence of real numbers contains a convergent subsequence.
Proof
We shall use the Nested intervals theorem (Theorem 3.1). Let {xn} be a given bounded sequence. Then it is contained in some closed interval I ={x : a ≤ x ≤ b}. Divide I into two equal subintervals by the midpoint (a + b)/2. Then either the left subinterval contains an infinite number of the {xn} or the right subinterval does (or both). Denote by I1 ={x : a1 ≤ x ≤ b1} the closed subinterval of I that contains infinitely many {xn}. (If both subintervals do, choose either one.) Next, divide I1 into two equal parts by it smidpoint. Either the right subinterval or the left subinterval of I1 contains infinitely many {xn}. Denote by I2 the closed subinterval that does. Continue this process, obtaining the sequence

with the property that each In contains xp for infinitely many values of p. Since bn − an =(b − a)/2n → 0 as n →∞, we may apply the Nested intervals theorem to obtain a unique number x0 contained in every In.
We now construct a subsequence of {xp} converging to x0. Choose xk1 to be any member of {xp} in I1 and denote xk1 by y1. Next choose xk2 to be any member of {xp} such that xk2 is in I2 and such that k2 >k1.We can do this because I2 has infinitely many of the {xp}. Set xk2 =y2. Next, choose xk3 as any member of {xp} in I3 and such that k3 >k2. We can do this because I3 also has infinitely may of the {xp}. Set xk3 = y3.We continue, and by induction obtain the subsequence y1,y2,...,yn,....By the method of selection we have

Since an → x0, bn → x0,as n →∞, we can apply the Sandwiching theorem to conclude that yn → x0 as n →∞.
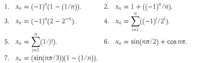
Problems
In Problems1 through 7 decide whether or not the given sequence converges to a limit. If it does not, find, in each case, at least one convergent subsequence. We suppose n = 1, 2, 3,...

Basic Elements of Real Analysis, Murray H. Protter, Springer, 1998 .Page(53 -55)
الاكثر قراءة في التحليل الحقيقي
اخر الاخبار
اخبار العتبة العباسية المقدسة
الآخبار الصحية

قسم الشؤون الفكرية يصدر كتاباً يوثق تاريخ السدانة في العتبة العباسية المقدسة
"المهمة".. إصدار قصصي يوثّق القصص الفائزة في مسابقة فتوى الدفاع المقدسة للقصة القصيرة
(نوافذ).. إصدار أدبي يوثق القصص الفائزة في مسابقة الإمام العسكري (عليه السلام)