
تاريخ الفيزياء

علماء الفيزياء


الفيزياء الكلاسيكية

الميكانيك

الديناميكا الحرارية


الكهربائية والمغناطيسية

الكهربائية

المغناطيسية

الكهرومغناطيسية


علم البصريات

تاريخ علم البصريات

الضوء

مواضيع عامة في علم البصريات

الصوت


الفيزياء الحديثة


النظرية النسبية

النظرية النسبية الخاصة

النظرية النسبية العامة

مواضيع عامة في النظرية النسبية

ميكانيكا الكم

الفيزياء الذرية

الفيزياء الجزيئية


الفيزياء النووية

مواضيع عامة في الفيزياء النووية

النشاط الاشعاعي


فيزياء الحالة الصلبة

الموصلات

أشباه الموصلات

العوازل

مواضيع عامة في الفيزياء الصلبة

فيزياء الجوامد


الليزر

أنواع الليزر

بعض تطبيقات الليزر

مواضيع عامة في الليزر


علم الفلك

تاريخ وعلماء علم الفلك

الثقوب السوداء


المجموعة الشمسية

الشمس

كوكب عطارد

كوكب الزهرة

كوكب الأرض

كوكب المريخ

كوكب المشتري

كوكب زحل

كوكب أورانوس

كوكب نبتون

كوكب بلوتو

القمر

كواكب ومواضيع اخرى

مواضيع عامة في علم الفلك

النجوم

البلازما

الألكترونيات

خواص المادة


الطاقة البديلة

الطاقة الشمسية

مواضيع عامة في الطاقة البديلة

المد والجزر

فيزياء الجسيمات


الفيزياء والعلوم الأخرى

الفيزياء الكيميائية

الفيزياء الرياضية

الفيزياء الحيوية

الفيزياء والفلسفة

الفيزياء العامة


مواضيع عامة في الفيزياء

تجارب فيزيائية

مصطلحات وتعاريف فيزيائية

وحدات القياس الفيزيائية

طرائف الفيزياء

مواضيع اخرى
بعض الاساسيات الرياضية في الفيزياء
المؤلف:
أ.د. نعيمة عبد القادر أحمد / أ.د. محمد أمين سلمان
المصدر:
علم البلورات والاشعة السينية
الجزء والصفحة:
ص51–57
2023-09-19
2386
تحويل المحاور Axes Transformation
والمقصود من هذا المصطلح التحول من مجموعة من المحاور المتعامدة إلى مجموعة أخرى تشترك معها في نقطة الأصل وتكون وحدة القياس في اتجاه أي محور هي دائما نفس الوحدة. هب أننا أشرنا إلى المجموعة الأولى بالرموز x1، x2، x3 وإلى الثانية بالرموزx'1 ، x'2، x'3 الشكل (2-3) فإن العلاقة بين المجموعتين يمكن أن تكتب بدلالة جيوب تمام زوايا الاتجاهات.

الجدول (1-2)

وعلى ذلك تكون جيوب تمام الاتجاهات الخاصة بالمحور x'2 بالنسبة للمحاور x3, x2, x1 هي: a23, a22, a21 وجيوب تمام اتجاهات المحور x3 بالنسبة للمحاور x'1 ، x'2، x'3 هي : a23, a22, a21. أي أن الترقيم السفلي الأول يشير إلى المحاور «الجديدة» والثاني إلى «القديمة».
ومن الواضح الآن أن aij هي جيب تمام الزاوية المحصورة بين المحاور x'i، والمحاور xj. وليست المقادير التسعة مستقلة عن بعضها البعض، وعلى العموم فإن
aij ≠ aji
- تحويل مركبات المتجهات
هب أن لدينا متجها ما
وأن مركباته في اتجاه المحاور x3, x2, x1 هي p3, p2, p1 (الشكل 2-4) وأن مركباته في اتجاه مجموعة أخرى من المحاور x'1 ، x'2، x'3 هي: p'1 ، p'2، p'3
إن المركبة p'1تنتج عن تحليل p1 ، p2، p3 في اتجاه x'1 ، أي:
وعلى ذلك يكون:
أو بشكل مختصر:
أما إذا سرنا بطريقة معكوسة؛ أي التعبير عن المركبات «القديمة» بدلالة «الجديدة» فإن:
أو بشكل مختصر:
- تحويل إحداثيات نقطة ما
تعتبر إحداثيات النقطة (x3, x2, x1) بالنسبة للمحاور Ox3, Ox2, Ox1 هي مركبات المتجه OP في الشكل 2-4؛ ولذلك تكون الإحداثيات (x'3, x'2, x'1) بالنسبة للمحاور Ox'3, Ox'2, Ox'1 معطاة بالمعادلة:
- تحويل مركبات ممتد من الرتبة الثانية
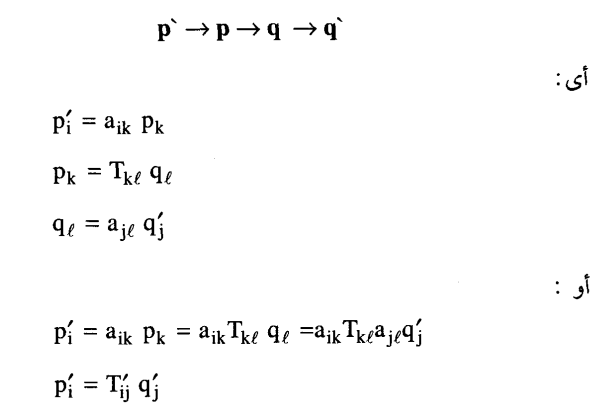
إذا أردنا تحويل مركبات ممتد من الرتبة الثانية من مجموع محاور «قديمة» (x3, x2, x1) إلى مجموعة محاور جديدة x'3, x'2, x'1 وكانت Tij تربط بين المتجهين p وq فإننا نتبع الخطوات التالية باتجاه الأسهم:
وبمقارنة المعادلتين الأخيرتين نجد أن:

وهذا هو قانون تحويل مركبات الكمية الممتدة (الممتد) من الرتبة الثانية. أما الصورة المعكوسة فهي:
- تحويل حاصل ضرب الإحداثيات
لقد وجدنا أن قانون تحويل ممتد من الرتبة الأولى (متجه) هو:

وهو في نفس الوقت قانون تحويل إحداثيات نقطة ما:

ومن ثم فإن قانون تحويل الممتد من الرتبة الثانية هو نفس قانون تحويل حاصل ضرب إحداثيين؛ أي أن مركبات كمية ممتدة Tij تتحول مثلما يتحول حاصل الضرب xixj. ويبين الجدول التالي (جدول2-2) قوانين تحويل مركبات كميات ممتدة من رتب مختلفة.
جدول (2-2)
- التمثيل البياني للكميات الممتدة
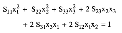
يمكننا جعل الخاصية الفيزيائية شيئا ملموسا إذا قمنا بعمل التمثيل البياني للكمية الممتدة التي تصف تلك الخاصية. وسنبدأ بالنظر في المعادلة:
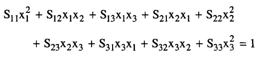
حيث Sij هي نوع من المعاملات والمعادلة في صورتها المفصلة هي:
وإذا افترضنا أن Sij = Sji وجمعنا الحدود فإن:

وهذه – في الواقع – معادلة سطح من الدرجة الثانية (تربيعي) ومسند إلى مركزه كنقطة أصل، وقد يكون هذا السطح بوجه عام هو سطح مجسم قطع ناقص أو سطح مجسم قطع زائد.
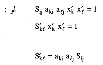
ويمكننا أن نستخدم قوانين تحويل المحاور الآتية:

حيث alj ، aki هي جيوب تمام الاتجاهات الخاصة بالمحاور بعد التحويل x' بالنسبة للمحاور قبل التحويل x.
وعلى هذا تتحول المعادلة (7-2) من مجموعة المحاور xi إلى مجموعة جديدة x'i:
حيث:

وهذا القانون شبيه بقانون تحويل الكمية الممتدة من الرتبة الثانية:
وعلى هذا يكون السطح الممثل بالمعادلة (14-2) خاصا بالمجسم التربيعي للكمية الممتدة Sij. ومن الخواص المهمة لمثل هذا المجسم امتلاكه لمحاور رئيسية ثلاثة متعامدة فيما بينها. وإذا نسب المجسم إلى تلك المحاور فإن معادلته تصبح:

ومثلما يتخذ المجسم أبسط صورة عندما ينسب إلى محاوره الرئيسية فإن أي ممتد متماثل من الرتبة الثانية يمتلك نفس الخاصية.
والكميات S1، S2، S3 هي المركبات الرئيسية للمتد [SIJ] أو للخاصية التي يمثلها.
الاكثر قراءة في الفيزياء الرياضية
اخر الاخبار
اخبار العتبة العباسية المقدسة
الآخبار الصحية

قسم الشؤون الفكرية يصدر كتاباً يوثق تاريخ السدانة في العتبة العباسية المقدسة
"المهمة".. إصدار قصصي يوثّق القصص الفائزة في مسابقة فتوى الدفاع المقدسة للقصة القصيرة
(نوافذ).. إصدار أدبي يوثق القصص الفائزة في مسابقة الإمام العسكري (عليه السلام)