

تاريخ الرياضيات

الاعداد و نظريتها

تاريخ التحليل

تار يخ الجبر

الهندسة و التبلوجي


الرياضيات في الحضارات المختلفة

العربية

اليونانية

البابلية

الصينية

المايا

المصرية

الهندية


الرياضيات المتقطعة

المنطق

اسس الرياضيات

فلسفة الرياضيات

مواضيع عامة في المنطق


الجبر

الجبر الخطي

الجبر المجرد

الجبر البولياني

مواضيع عامة في الجبر

الضبابية

نظرية المجموعات

نظرية الزمر

نظرية الحلقات والحقول

نظرية الاعداد

نظرية الفئات

حساب المتجهات

المتتاليات-المتسلسلات

المصفوفات و نظريتها

المثلثات


الهندسة

الهندسة المستوية

الهندسة غير المستوية

مواضيع عامة في الهندسة

التفاضل و التكامل


المعادلات التفاضلية و التكاملية

معادلات تفاضلية

معادلات تكاملية

مواضيع عامة في المعادلات


التحليل

التحليل العددي

التحليل العقدي

التحليل الدالي

مواضيع عامة في التحليل

التحليل الحقيقي

التبلوجيا

نظرية الالعاب

الاحتمالات و الاحصاء

نظرية التحكم

بحوث العمليات

نظرية الكم

الشفرات

الرياضيات التطبيقية

نظريات ومبرهنات


علماء الرياضيات

500AD

500-1499

1000to1499

1500to1599

1600to1649

1650to1699

1700to1749

1750to1779

1780to1799

1800to1819

1820to1829

1830to1839

1840to1849

1850to1859

1860to1864

1865to1869

1870to1874

1875to1879

1880to1884

1885to1889

1890to1894

1895to1899

1900to1904

1905to1909

1910to1914

1915to1919

1920to1924

1925to1929

1930to1939

1940to the present

علماء الرياضيات

الرياضيات في العلوم الاخرى

بحوث و اطاريح جامعية

هل تعلم

طرائق التدريس

الرياضيات العامة

نظرية البيان
المتجهات في فضاء البعد الثاني وفضاء البعد الثالث-المستقيمان والمستويان في الفضاء الثلاثي
المؤلف:
علي جاسم التميمي
المصدر:
مقدمة في الجبر الخطي
الجزء والصفحة:
177-185
7-3-2016
19168
المستقيمان والمستويان في الفضاء الثلاثي:
يتضمن هذا البند اشتقاق معادلات المستقيمان والمستويات في الفضاء 3- باستعمال المتجهات وتوظيف تلك المعادلات لحل المسائل الهندسية الأساسية.
المستويات في الفضاء 3- :لتعيين مستقيم ما في المستوى نحتاج لمعرفة ميله ونقطة واقعة عليه، ويمكن تعيين المستوى في فضاء 3- إذا عرف انحداره ونقطة واقعة عليه. الطريقة المناسبة لتعيين الانحدار هي في تحديد متجه (يسمى المتجه الناظم) غير صفري عمودياً على المستوى.
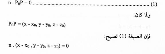
نفرض أننا نريد إيجاد معادلة المستوى المار بالنقطة P0 (x0 , y0 , z0) وله المتجه غير الصفري n = (a, b, c) العمود عليه.
واضخ من الشكل (1-1) أن المستوى المطلوب يتكون من تلك النقاط P (x, y, z) بحيث يكون المتجه p0p عمودياً على المتجه n. بمعنى آخر

شكل(1-1)


مثال (1):
أوجد معادلة المستوى المار بالنقطة P0 (2, 5, 1) والذي ناظمه n = (1,-2,3)
الحل:
بالتعويض في الصيغة (2):
1(x-2)+(-2)(y-5)+1(z-1)=1
أو
x-2y+3z=5
مثال(2):
أوجد معادلة المستوى المار بالنقاط الثلاث P1 (1,2,-1) و P2 ( 2,3,1) و P (3,-1,2).
الحل:
بما أن جميع النقاط تقع على المستوى فإن مركباتها تحقق المعادلة العامة.
بالتعويض في الصيغة العامة:

وبحل هذا النظام نحصل على:

إذن المعادلة هي:
9x+y-5z-16=0
طريقة ثانية لإيجاد معادلة المستوى (الصيغة الاتجاهية):
هناك صيغة ثابتة مهمة لمعادلة المستوى في فضاء 3- تتلخص فيما يلي:
ليكن r (x, y, z) متجه من نقطة الأصل للنقطة P (x, y, z) و r0 (x0, y0, 0) متجه من نقطة الأصل للنقطة P0 (x0 , y0, z0) و n = (a, b, c) عمود على المستوى شكل (3-31) لذا:
P0P=r-r0
تسمى هذه الصيغة بالصيغة الاتجاهية لمعادلة المستوى
بالتعويض في الصيغة (1) نحصل على:
5) ................................................................n.(r-r0)=0
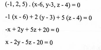
مثال (3): أوجد معادلة المستوى المار بالنقطة (4,3,4) وعمودياً على المتجه (n = (-1,2,5.
الحل:
بالتعويض في الصيغة (5) نحصل على:


شكل (1-2)
المستقيمان في فضاء 3-: نوضح في هذا الجزء طريقتين لإيجاد معادلة المستقيم في المستوى.
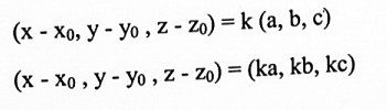
الطريقة الأولى: ليكن m مستقيم ما يمر بالنقطة P0 (x0, y0, z0) وموازياً للمتجه v = (a, b, c)
المستقيم m يتكون من تلك النقاط p (x, y, z) التي يكون فيها المتجه P0P موازياً للمتجه v، أي أن:
6) ...................................................... P0P=kv

شكل(1-3)
حيث k عدد ثابت.
أي:

وبالمقارنة بين المركبات:

هذه المعادلات تسمى المعادلات الوسيطة.
مثال(4):
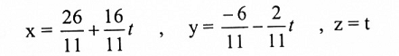
اوجد المعادلات الوسيطة للمستقيم m المار بالنقطتين P (1, 2,3) و Q (3,2,1).
الحل:
بما أن المتجه PQ (2,0,-2) يوازي المستقيم m والنقطة P (1,2,3) تقع على m فإن

مثال (5):
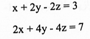
أوجد المعادلات الوسيطة لخط تقاطع المستويين:

الحل:
خط تقاطع المستويين يتكون من جميع النقاط (x, y, z) التي تحقق المعادلتين وبحل المعادلتين نجد:

الطريقة الثانية: ليكن r (x, y, z) متجه ما منة نقطة الأصل للنقطة P (x, y, z) و r0 (x0, y0, z0) متجه من نقطة الأصل للنقطة P0 (x0, y0, z0) و v = (a, b, c) متجه موازي للمستقيم m، كما في الشكل (3-33).
لذا:
P0P =r-r0
وبالتعويض في الصيغة P0P = kv نحصل على:
r-r0=kv
حيث k عدد ثابت.
أو
هذه الصيغة تسمى بالصيغة الاتجاهية لمعادلة المستقيم في المستوى 3-
المسافة من نقطة معلومة لمستوى معلوم:
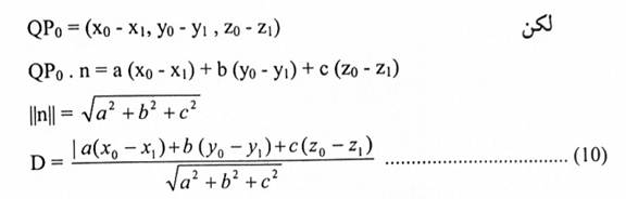
لتكن P (x0, y0, z0) نقطة معلومة ax + by + cz + d = 0 المستوى المعلوم فإن المسافة D بين النقطة والمستوى.

البرهان:
نفرض Q (x1, y1,z1 نقطة واقعة في المستوى. نرسم المتجه n = (a, b, c) عمودياً على المستوى في النقطة Q (الشكل 1-4). المسافة D تساوي طول المسقط العمودي للمتجه QP0 على n. بوساطة الصيغة (9) في (الضرب النقطي ,المساقط):


شكل(1-4)
لكن Q (x1, y1, z1) واقعة في المستوى، فإن إحداثيات تحقق معادلة المستوى
وبتعويض هذه الصيغة هذه في (10) نحصل على (9).
ملاحظة:
لاحظ التشابه بين (9) وصيغة المسافة بين نقطة معلومة ومستقيم معلوم (صيغة 12في(الضرب النقطي ,المساقط(.
مثال(7):
أوجد المسافة من النقطة P (1,-4,3) للمستوى 2x + 3y + 6z = 0
الحل:
هنا n = (2,-3,6) (الناظم) العمود على المستوى

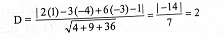
مثال (8): أوجد المسافة بين المستويين المتوازيين:

الحل:
المستويان متوازيين لأن أعمدتهما (الناظمين) n1 = (1,2,-2) و n2 = (2,4,-4) متجهات متوازيين (شكل 1-5).
لإيجاد المسافة بين المستويين نختار نقطة معينة في إحداهما ونوجد المسافة بين النقطة والمستوى الآخر، بفرض y = z = 0 في المعادلة x + 2y – 2z = 3 نحصل على P0 (3,0,0) في هذا المستوى. وبوساطة الصيغة (9) فإن المسافة D من P0 إلى المستوى 2x + 4y – 4z = 7

شكل (1-5)
الاكثر قراءة في الجبر الخطي
اخر الاخبار
اخبار العتبة العباسية المقدسة
الآخبار الصحية

قسم الشؤون الفكرية يصدر كتاباً يوثق تاريخ السدانة في العتبة العباسية المقدسة
"المهمة".. إصدار قصصي يوثّق القصص الفائزة في مسابقة فتوى الدفاع المقدسة للقصة القصيرة
(نوافذ).. إصدار أدبي يوثق القصص الفائزة في مسابقة الإمام العسكري (عليه السلام)