
تاريخ الفيزياء

علماء الفيزياء


الفيزياء الكلاسيكية

الميكانيك

الديناميكا الحرارية


الكهربائية والمغناطيسية

الكهربائية

المغناطيسية

الكهرومغناطيسية


علم البصريات

تاريخ علم البصريات

الضوء

مواضيع عامة في علم البصريات

الصوت


الفيزياء الحديثة


النظرية النسبية

النظرية النسبية الخاصة

النظرية النسبية العامة

مواضيع عامة في النظرية النسبية

ميكانيكا الكم

الفيزياء الذرية

الفيزياء الجزيئية


الفيزياء النووية

مواضيع عامة في الفيزياء النووية

النشاط الاشعاعي


فيزياء الحالة الصلبة

الموصلات

أشباه الموصلات

العوازل

مواضيع عامة في الفيزياء الصلبة

فيزياء الجوامد


الليزر

أنواع الليزر

بعض تطبيقات الليزر

مواضيع عامة في الليزر


علم الفلك

تاريخ وعلماء علم الفلك

الثقوب السوداء


المجموعة الشمسية

الشمس

كوكب عطارد

كوكب الزهرة

كوكب الأرض

كوكب المريخ

كوكب المشتري

كوكب زحل

كوكب أورانوس

كوكب نبتون

كوكب بلوتو

القمر

كواكب ومواضيع اخرى

مواضيع عامة في علم الفلك

النجوم

البلازما

الألكترونيات

خواص المادة


الطاقة البديلة

الطاقة الشمسية

مواضيع عامة في الطاقة البديلة

المد والجزر

فيزياء الجسيمات


الفيزياء والعلوم الأخرى

الفيزياء الكيميائية

الفيزياء الرياضية

الفيزياء الحيوية

الفيزياء العامة


مواضيع عامة في الفيزياء

تجارب فيزيائية

مصطلحات وتعاريف فيزيائية

وحدات القياس الفيزيائية

طرائف الفيزياء

مواضيع اخرى
التفسير الاحتمالي أو بداية اللعب بالنرد
المؤلف:
يوسف البناي
المصدر:
ميكانيكا الكم بين الفلسفة والعلم
الجزء والصفحة:
ص61–62
2023-10-16
1577
إذا كانت معادلة شرودنغر معادلة تفاضلية من الدرجة الثانية، فمعنى ذلك بأن المعادلة تحل رياضيا لتعطي في النهاية الدالة الموجية
. لكن هذه الدالة الموجية بصورة عامة هي دالة عقدية complex function، وبالتالي لا تعطي معنى فيزيائي واضح. فالعدد المركب i يساوي 1–√، ونحن نعلم بأنه لا توجد كمية سالبة في العالم الفيزيائي. لذلك لم يشعر الفيزيائيين بالارتياح آنذاك تجاه هذه المعادلة الرياضية البحتة. لكن ماكس بورن Max Born رأى الموضوع بشكل اخر، فبدلا من أن يرى أن الدالة
تمثل موجة إلكترون، افترض أن هذه الدالة الاخيرة مجرد دالة احتمال.
إذا كانت الدالة
دالة عقدية ولا تعطي أي معنى فيزيائي، فأن مربع هذه الدالة يعطي معنى فيزيائي، وهو احتمال تواجد الالكترون بين الموقعين x وx + dx عند أي لحظة من الزمن:

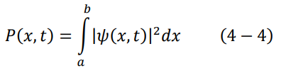
حيث (x, t) P كثافة الاحتمال. اذا أردنا الحصول على احتمالية تواجد الجسيم في المنطقة الخطية الواقعة بين النقطتين a وb، نقوم بتكامل المعادلة (3–4) بالحدود a وb:

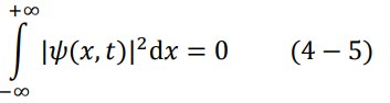
طالما أن هذا التكامل يعطي احتمالية تواجد الجسيم في مدى معين، إذن يجب أن يمتلك هذا التكامل قيمة محددة. لذلك إذا انعدمت قيمة التكامل عند كل نقاط الفضاء:

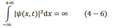
فهذا يعني أن الجسيم المادي لا وجود له عند أي لحظة زمنية في جميع مدى الفضاء على المحور x، وهذا غير ممكن طبعا. أما إذا كانت قيمة التكامل لا نهائية:

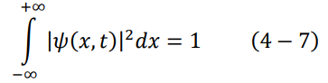
فهذا يعني أن الجسيم موجود في كل مكان وعند كل لحظة، وهذا أيضا غير ممكن ولا معنى له. لذلك يجب أن يكون هناك شرط رياضي حتى يتواجد الجسيم في مكان ما في الفضاء وفي لحظة ما يعطى ذلك الشرط كالتالي:

وتسمى هذه المعادلة بشرط المعايرة normalizing condition، وتعني ببساطة أن الجسيم يكون موجود بالفعل في مكان ما ولحظة ما في الفضاء. تمثل هذه العلاقة الأخيرة أحد أهم الشروط الهامة في ميكانيكا الكم وتستخدم كثيرا لحل المسائل الرياضية. يطلق على الدالة الموجية التي تحقق تلك العلاقة بالدالة الموجية المعايرة.
كان اقتراح ماكس بورن غير اعتيادي على الإطلاق، فلقد أصبحنا غير قادرين على تحديد موقع إلكترون داخل الذرة، مثلما نحن غير قادرون على تحديد الوجه الذي تتخذه قطعة النرد عند سقوطها. إن كل ما نستطيع قوله الآن أن احتمالية تواجد الإلكترون في المدى كذا هو كذا بالمائة، والمدى الأخر هو كذا بالمائة وهكذا. أي أن الأمور جميعها قد تحولت إلى إحصاء.
من هنا بدأت الكوابيس المزعجة عن جوهر الطبيعة الذرية تراود الفيزيائيين، فهل الكون في أصغر لبناته عبارة عن طاولة نرد كبيرة، وكل شيء فيها يدبر بضربة حظ.
لقد استمر البحث والتفسير، حتى جاء مبدأ أخطر من كل ما ذكرناه حتى الآن، مبدأ من شأنه أن يغير أفكارنا تماما عن الكون، مبدأ ينص وبكل بساطة على أن عندما توجد الحركة يختفي الموضع، وعندما يوجد الموضع تختفي الحركة!!
الاكثر قراءة في ميكانيكا الكم
اخر الاخبار
اخبار العتبة العباسية المقدسة
الآخبار الصحية

قسم الشؤون الفكرية يصدر كتاباً يوثق تاريخ السدانة في العتبة العباسية المقدسة
"المهمة".. إصدار قصصي يوثّق القصص الفائزة في مسابقة فتوى الدفاع المقدسة للقصة القصيرة
(نوافذ).. إصدار أدبي يوثق القصص الفائزة في مسابقة الإمام العسكري (عليه السلام)