
تاريخ الفيزياء

علماء الفيزياء


الفيزياء الكلاسيكية

الميكانيك

الديناميكا الحرارية


الكهربائية والمغناطيسية

الكهربائية

المغناطيسية

الكهرومغناطيسية


علم البصريات

تاريخ علم البصريات

الضوء

مواضيع عامة في علم البصريات

الصوت


الفيزياء الحديثة


النظرية النسبية

النظرية النسبية الخاصة

النظرية النسبية العامة

مواضيع عامة في النظرية النسبية

ميكانيكا الكم

الفيزياء الذرية

الفيزياء الجزيئية


الفيزياء النووية

مواضيع عامة في الفيزياء النووية

النشاط الاشعاعي


فيزياء الحالة الصلبة

الموصلات

أشباه الموصلات

العوازل

مواضيع عامة في الفيزياء الصلبة

فيزياء الجوامد


الليزر

أنواع الليزر

بعض تطبيقات الليزر

مواضيع عامة في الليزر


علم الفلك

تاريخ وعلماء علم الفلك

الثقوب السوداء


المجموعة الشمسية

الشمس

كوكب عطارد

كوكب الزهرة

كوكب الأرض

كوكب المريخ

كوكب المشتري

كوكب زحل

كوكب أورانوس

كوكب نبتون

كوكب بلوتو

القمر

كواكب ومواضيع اخرى

مواضيع عامة في علم الفلك

النجوم

البلازما

الألكترونيات

خواص المادة


الطاقة البديلة

الطاقة الشمسية

مواضيع عامة في الطاقة البديلة

المد والجزر

فيزياء الجسيمات


الفيزياء والعلوم الأخرى

الفيزياء الكيميائية

الفيزياء الرياضية

الفيزياء الحيوية

الفيزياء والفلسفة

الفيزياء العامة


مواضيع عامة في الفيزياء

تجارب فيزيائية

مصطلحات وتعاريف فيزيائية

وحدات القياس الفيزيائية

طرائف الفيزياء

مواضيع اخرى
نظرية بورن أوبنهايمر Born - Oppenheimer
المؤلف:
الدكتور محمد انور بطل
المصدر:
الفيزياء الذرية والجزيئية
الجزء والصفحة:
ص 276
12-2-2022
2482
نظرية بورن أوبنهايمر Born - Oppenheimer
بما أن معادلة شرودينغر لجزيئة الموصوفة بالمعادلة الاتية:
..........(1)
الصعبة الحل والمعقدة لذاك نلجأ إلى افتراض أن التابع الموجي هو من الشكل:

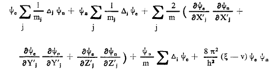
بتعويض التابع ψ في العلاقة (1) معادلة شرودينغر نجد:

وبشكل كلي نجد:

مع الأخذ بعين الإعتبار للمعادلتين الاتيتين:


وبفرض أن :


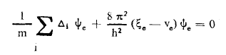
تمثل هذه العلاقة الحد الأول من معادلة شرودينغر لجزئية وهي غير معدومة باعتبار أننا استخدمنا التابع ψ وهو حل غير دقيق لهذه المعادلة اذاً يقوم تقريب بورن أو ينهايمر على أهمال Φ التي تدخل الاشتقاق من المرتبة الأولى والثانية على التابع الموجي الإلكتروني وذلك بالنسبة لاحداثيات الأنوية. وهذا يعني أن ψe قليل التأثير بحركة النواة أي 0 = Φ وعندئذ معادلة شرودينغر هي:

ومنه نجد :

خلاصة إن ψe ψn حلول لمعادلات شرودينغر للنموذج الإلكتروني وللنموذج النووي هو حل تقريبي لمعادلة شرودينغر لجزيئة حيث ζ و nζ متساويتان.
الاكثر قراءة في الفيزياء الجزيئية
اخر الاخبار
اخبار العتبة العباسية المقدسة
الآخبار الصحية

قسم الشؤون الفكرية يصدر كتاباً يوثق تاريخ السدانة في العتبة العباسية المقدسة
"المهمة".. إصدار قصصي يوثّق القصص الفائزة في مسابقة فتوى الدفاع المقدسة للقصة القصيرة
(نوافذ).. إصدار أدبي يوثق القصص الفائزة في مسابقة الإمام العسكري (عليه السلام)