
تاريخ الفيزياء

علماء الفيزياء


الفيزياء الكلاسيكية

الميكانيك

الديناميكا الحرارية


الكهربائية والمغناطيسية

الكهربائية

المغناطيسية

الكهرومغناطيسية


علم البصريات

تاريخ علم البصريات

الضوء

مواضيع عامة في علم البصريات

الصوت


الفيزياء الحديثة


النظرية النسبية

النظرية النسبية الخاصة

النظرية النسبية العامة

مواضيع عامة في النظرية النسبية

ميكانيكا الكم

الفيزياء الذرية

الفيزياء الجزيئية


الفيزياء النووية

مواضيع عامة في الفيزياء النووية

النشاط الاشعاعي


فيزياء الحالة الصلبة

الموصلات

أشباه الموصلات

العوازل

مواضيع عامة في الفيزياء الصلبة

فيزياء الجوامد


الليزر

أنواع الليزر

بعض تطبيقات الليزر

مواضيع عامة في الليزر


علم الفلك

تاريخ وعلماء علم الفلك

الثقوب السوداء


المجموعة الشمسية

الشمس

كوكب عطارد

كوكب الزهرة

كوكب الأرض

كوكب المريخ

كوكب المشتري

كوكب زحل

كوكب أورانوس

كوكب نبتون

كوكب بلوتو

القمر

كواكب ومواضيع اخرى

مواضيع عامة في علم الفلك

النجوم

البلازما

الألكترونيات

خواص المادة


الطاقة البديلة

الطاقة الشمسية

مواضيع عامة في الطاقة البديلة

المد والجزر

فيزياء الجسيمات


الفيزياء والعلوم الأخرى

الفيزياء الكيميائية

الفيزياء الرياضية

الفيزياء الحيوية

الفيزياء والفلسفة

الفيزياء العامة


مواضيع عامة في الفيزياء

تجارب فيزيائية

مصطلحات وتعاريف فيزيائية

وحدات القياس الفيزيائية

طرائف الفيزياء

مواضيع اخرى
SUPERDENSE CODING
المؤلف:
Shabnam Siddiqui
المصدر:
Quantum Mechanics
الجزء والصفحة:
252
27-3-2021
2802
SUPERDENSE CODING
Superdense coding is an example of the use of quantum properties where quantum information can be transmitted in a way that classical information cannot. The idea is to transmit a maximum amount of information by employing a minimum number of qubits.
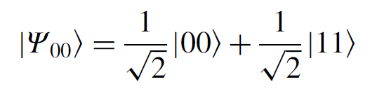
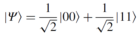
Consider that Alice and Bob share an entangled pair as specified below:
..........(1)
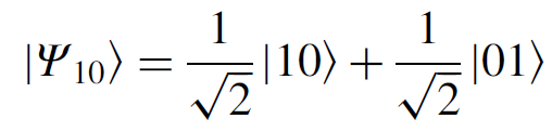
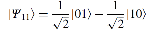
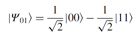
Initially, the first qubit is in the possession of Alice and the second qubit is in the possession of Bob. The state of Equation (1) is an entangled state. Now, Alice wants to transmit two bits of information to Bob by sending a single qubit. If she wished to transmit bit “00” to Bob, she does nothing to her qubit, and just transmits it to bob. If she wishes to transmit bit “01” to Bob, she performs a phase flip, Z gate operation to her qubit and then transmits it to Bob. If she wishes to transmit bit “10” to Bob, she performs a NOT gate, X gate operation to her qubit and then transmits it. If she wishes to transmit bit “11” to Bob, she performs an iY gate operation to her qubit and then transmits it. The resulting states are:
.........(2)
...........(3)
..........(4)
...............(5)
These four states are known as Bell states or a Bell basis. All the Bell states are entangled and forms an orthonormal basis. Thus, these states can be distinguished by performing a measurement. Since Alice has transmitted her qubit to Bob who is now in possession of both qubits, by performing measurements on a Bell basis, Bob can determine which of the four possible two bits were sent by Alice. Hence, Alice was able to transmit two bits of information just by transmitting a single qubit to Bob. Alice interacts only with the qubit that is in her possession and was able to send two bits of information to Bob. Classically, Alice would need to interact with Bob’s qubit for transmitting two bits of information. Such a superdense transmission of information is only possible in a quantum computer.
Here we end this chapter without any final conclusions about the field of quantum information and quantum computation. The main reason for doing so is that the field is evolving very rapidly. It is hard to be clear about the future technologies emerging from this field. But it is clear that future quantum technologies will be built on the principles that are very close to the principles that govern this universe.
الاكثر قراءة في ميكانيكا الكم
اخر الاخبار
اخبار العتبة العباسية المقدسة
الآخبار الصحية

قسم الشؤون الفكرية يصدر كتاباً يوثق تاريخ السدانة في العتبة العباسية المقدسة
"المهمة".. إصدار قصصي يوثّق القصص الفائزة في مسابقة فتوى الدفاع المقدسة للقصة القصيرة
(نوافذ).. إصدار أدبي يوثق القصص الفائزة في مسابقة الإمام العسكري (عليه السلام)