تاريخ الفيزياء
علماء الفيزياء
الفيزياء الكلاسيكية
الميكانيك
الديناميكا الحرارية
الكهربائية والمغناطيسية
الكهربائية
المغناطيسية
الكهرومغناطيسية
علم البصريات
تاريخ علم البصريات
الضوء
مواضيع عامة في علم البصريات
الصوت
الفيزياء الحديثة
النظرية النسبية
النظرية النسبية الخاصة
النظرية النسبية العامة
مواضيع عامة في النظرية النسبية
ميكانيكا الكم
الفيزياء الذرية
الفيزياء الجزيئية
الفيزياء النووية
مواضيع عامة في الفيزياء النووية
النشاط الاشعاعي
فيزياء الحالة الصلبة
الموصلات
أشباه الموصلات
العوازل
مواضيع عامة في الفيزياء الصلبة
فيزياء الجوامد
الليزر
أنواع الليزر
بعض تطبيقات الليزر
مواضيع عامة في الليزر
علم الفلك
تاريخ وعلماء علم الفلك
الثقوب السوداء
المجموعة الشمسية
الشمس
كوكب عطارد
كوكب الزهرة
كوكب الأرض
كوكب المريخ
كوكب المشتري
كوكب زحل
كوكب أورانوس
كوكب نبتون
كوكب بلوتو
القمر
كواكب ومواضيع اخرى
مواضيع عامة في علم الفلك
النجوم
البلازما
الألكترونيات
خواص المادة
الطاقة البديلة
الطاقة الشمسية
مواضيع عامة في الطاقة البديلة
المد والجزر
فيزياء الجسيمات
الفيزياء والعلوم الأخرى
الفيزياء الكيميائية
الفيزياء الرياضية
الفيزياء الحيوية
الفيزياء العامة
مواضيع عامة في الفيزياء
تجارب فيزيائية
مصطلحات وتعاريف فيزيائية
وحدات القياس الفيزيائية
طرائف الفيزياء
مواضيع اخرى
Gravitational lensing by a point mass
المؤلف:
Heino Falcke and Friedrich W Hehl
المصدر:
THE GALACTIC BLACK HOLE Lectures on General Relativity and Astrophysics
الجزء والصفحة:
p 263
6-2-2017
2123
Gravitational lensing by a point mass
To a first and good approximation the lensing properties of the mass distribution in the Galactic Center can be described as those of a point mass, the MBH. Figure 1.1 shows the light ray diagram of lensing by a point mass in the small-angle limit. The bending angle is given by
(1.1)
where b is the impact parameter of the light ray with respect to the lens. Note that unlike a spherical glass lens, where the bending angle is zero when the ray goes through the lens center and increases with the impact parameter, the bending angle of a gravitational lens diverges toward the center and decreases with the impact parameter. It is therefore not surprising that a gravitational lens does not produce a faithful image of the lensed source, but rather breaks, warps and/or flips the image. A point lens creates two images of the source, one on either side of the lens. There are always two images in focus at the observer, regardless of the distance of the source behind the lens. The two images, the lens and the (unobserved) source all lie on one line. The typical angular cross section of the lens is given by the Einstein angle,
(1.2)
where DOL is the observer-lens distance, DLS is the lens-source distance, and DOS is the observer-source distance.
The relation between the angular position of the source relative to the observer-lens axis (the optical axis) can be derived from the geometry of the light paths,
y = x1,2 − 1/x1,2 (1.3)
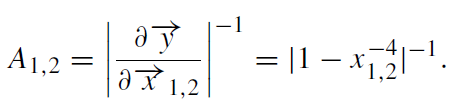
where x1,2 and y are measured in terms of θE and where x2 < 0 by definition. Gravitational lensing conserves surface brightness, and so the magnifications A1,2 in the flux of each image relative to that of the unlensed source are proportional to change in the angular area of the source,
(1.4)
The primary image at x1 is always magnified. The secondary image at x2 can be demagnified to zero. The two magnifications obey the relations
A1 = A2 + 1 ≥ 1 (1.5)
Figure 1.1. The light ray diagram for lensing by a point mass. The light rays from a source, at angular position y relative to the observer-lens optical axis, are bent by the gravitational lens and reach the observer from angles x1 and x2, thereby appearing as two images. Unlike a spherical glass lens, the light bending angle α of a gravitational lens is inversely proportional to the impact parameter to the lens.
and
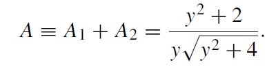
(1.6)
When y = 0 the magnification formally diverges and the image appears as a ring of angular size θE, the Einstein ring. This divergence is avoided in practice by the finite size of the source (e.g. a star). Finite-sized sources are also sheared tangentially around the Einstein ring as the magnification increases. In the limit of high magnification or small source angle,
A ∼ 1/y (y <<1). (1.7)
الاكثر قراءة في مواضيع عامة في علم الفلك
اخر الاخبار
اخبار العتبة العباسية المقدسة

الآخبار الصحية
