Motion of ultrarelativistic particles
المؤلف:
Heino Falcke and Friedrich W Hehl
المصدر:
THE GALACTIC BLACK HOLE Lectures on General Relativity and Astrophysics
الجزء والصفحة:
p 135
2-2-2017
1798
Motion of ultrarelativistic particles
1.1 Equations of motion
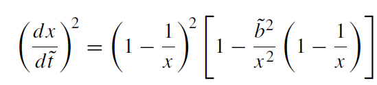
When the energy E is much larger than m, a particle is called ultrarelativistic. In this limit Ẽ → ∞ and ˜L → ∞while the ratio ˜L /Ẽ remains finite and is equal to ˜b := b/rS, where b is the impact parameter of the particle at infinity. The equations of motion of the ultrarelativistic particle (or a light ray) take the form (˜t = t/rS):
(1.1)
(1.2)
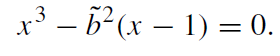
The sign of b depends on the sense of motion; we assume that b is positive. The radial turning point on the trajectory is defined by the equation
(1.3)
The impact parameter b as a function of the position of a radial turning point is shown in figure 1.1.
1.2 Types of trajectory
In figure 1.1, the motion of an ultrarelativistic particle with a given b is represented by a horizontal line b = constant. A particle approaches the black hole,

Figure 1.1. Impact parameter b as a function of the position of extrema in x = r/rS on the trajectory of an ultrarelativistic particle.
passes by it at the minimal distance corresponding to the point of intersection of b = constant with the right-hand branch of the b(r ) curve, and again recedes to infinity. If the intersection occurs close to the minimum bmin = 3√3 × rS/2, the particle may experience a number of turns before it flies away to infinity. The exact minimum of the curve b(r) corresponds to the (unstable) motion on a circle of radius r = 1.5rS at the velocity v = c. Note that the left-hand branch of b(r) in figure 1.1 corresponds to the maximum distance between the ultrarelativistic particle and the black hole; the particle first recedes to r < 1.5rS but then again falls into the black hole. Obviously, for such a motion the parameter b does not have the literal meaning of the impact parameter at infinity since the particle never recedes to infinity. For a given coordinate r , this parameter can be found as a function of the angle ψ between the trajectory of the particle and the direction to the center of the black hole:
(1.4)
If an ultrarelativistic particle approaches the black hole on the way from infinity and the parameter b is less than the critical value bmin = 3√3rS/2, the particle falls into the black hole.
الاكثر قراءة في الثقوب السوداء
اخر الاخبار
اخبار العتبة العباسية المقدسة