
تاريخ الفيزياء

علماء الفيزياء


الفيزياء الكلاسيكية

الميكانيك

الديناميكا الحرارية


الكهربائية والمغناطيسية

الكهربائية

المغناطيسية

الكهرومغناطيسية


علم البصريات

تاريخ علم البصريات

الضوء

مواضيع عامة في علم البصريات

الصوت


الفيزياء الحديثة


النظرية النسبية

النظرية النسبية الخاصة

النظرية النسبية العامة

مواضيع عامة في النظرية النسبية

ميكانيكا الكم

الفيزياء الذرية

الفيزياء الجزيئية


الفيزياء النووية

مواضيع عامة في الفيزياء النووية

النشاط الاشعاعي


فيزياء الحالة الصلبة

الموصلات

أشباه الموصلات

العوازل

مواضيع عامة في الفيزياء الصلبة

فيزياء الجوامد


الليزر

أنواع الليزر

بعض تطبيقات الليزر

مواضيع عامة في الليزر


علم الفلك

تاريخ وعلماء علم الفلك

الثقوب السوداء


المجموعة الشمسية

الشمس

كوكب عطارد

كوكب الزهرة

كوكب الأرض

كوكب المريخ

كوكب المشتري

كوكب زحل

كوكب أورانوس

كوكب نبتون

كوكب بلوتو

القمر

كواكب ومواضيع اخرى

مواضيع عامة في علم الفلك

النجوم

البلازما

الألكترونيات

خواص المادة


الطاقة البديلة

الطاقة الشمسية

مواضيع عامة في الطاقة البديلة

المد والجزر

فيزياء الجسيمات


الفيزياء والعلوم الأخرى

الفيزياء الكيميائية

الفيزياء الرياضية

الفيزياء الحيوية

الفيزياء والفلسفة

الفيزياء العامة


مواضيع عامة في الفيزياء

تجارب فيزيائية

مصطلحات وتعاريف فيزيائية

وحدات القياس الفيزيائية

طرائف الفيزياء

مواضيع اخرى
نسبية الطول
المؤلف:
محمد فخري
المصدر:
النظرية النسبية
الجزء والصفحة:
.....
24-7-2016
3510
نسبية الطول
لقد وجدنا أن الفترات الزمنية ليست مطلقة بل تختلف باختلاف الأطر المرجعية التي تقاس منها. و نفس الشيء بالنسبة للأطوال فهي أيضا تعتمد على الإطار المرجعي الذى تقاس فيه. و الطول الحقيقي هو الطول كما يقاسه شخص متواجد مع الجسم في إطار مرجعي واحد و من ثم يكون الجسم ساكنا بالنسبة له. أما طول الجسم الموجود في إطار مرجعي متحرك بالنسبة للشخص الذى يقيس فيكون أقل من الطول الحقيقي و هذا ما يسمى بتقلص أو انكماش الطولLength Contraction.
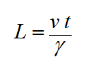
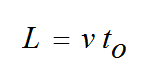
نفرض أن مركبة فضائية تتحرك بسرعة v من كوكب لأخر و داخلها مراقب يريد حساب المسافة بين الكوكبين (هذا المراقب يكون في إطار متحرك بالنسبة للكوكبين). و إذا كان هناك مراقب أخر موجود على الأرض ( أي في إطار ثابت بالنسبة للمركبة و أيضا بالنسبة للكوكبين) و يريد حساب المسافة بين الكوكبين. فإذا افترضنا أن المراقب الموجود على الأرض قاس هذه المسافة في زمن مقداره t و وجدها L0 و هو الطول الحقيقي. و السؤال الآن كيف سيقيس المراقب الموجود في المركبة الطول بين الكوكبين.
نظرا لتمدد الزمن فان المراقب الموجود في المركبة يجد أنه يقيس هذه المسافة في زمن t0 أقل من الزمن t. و في هذه الحالة سوف تكون المسافة بين الكوكبين هي L .
(1)
و بالتعويض من المعادلة (4) في المعادلة ( 5 ) نحصل على:
(2)
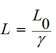
و حيث أن المقدار v t يمثل الطول الحقيقي (L0 )، فان المعادلة (2) تأخذ الشكل الآتي:
(3)
و حيث أن γ أكبر من الواحد فان الطول الظاهري (L) يكون أقل من الطول الحقيقي (L0) و هذا ما يسمى انكماش الطول.
إذن المسافر في قطار تصل سرعته إلى 0.8 من سرعة الضوء مثلا سوف يرى رصيف محطة القطار أقصر مما يراه الواقف على الرصيف و كذلك الواقف على الرصيف سوف يرى القطار أقصر مما يراه راكب القطار.
الاكثر قراءة في النظرية النسبية الخاصة
اخر الاخبار
اخبار العتبة العباسية المقدسة
الآخبار الصحية

قسم الشؤون الفكرية يصدر كتاباً يوثق تاريخ السدانة في العتبة العباسية المقدسة
"المهمة".. إصدار قصصي يوثّق القصص الفائزة في مسابقة فتوى الدفاع المقدسة للقصة القصيرة
(نوافذ).. إصدار أدبي يوثق القصص الفائزة في مسابقة الإمام العسكري (عليه السلام)