نسبية الزمن
أن الوقت المقاس يختلف باختلاف الأطر المرجعية كما تختلف الفترات الزمنية بين حدثين. و فيما يلي سوف نشتق العلاقة بين الفترات الزمنية المقاسه في إطارين قصوريين مختلفين.
يوضح الشكل(1) أن هناك عربة تسير بسرعة منتظمة v و أن هناك راصد عند النقطة O/ و فوقه توجد مرآة مثبته في سقف العربة و أن هناك شعاع ضوئي انبعث من أرضية العربة إلى سطح المرآة (قطع مسافة d) ثم ارتد مرة أخرى.

الشكل(1)

الشكل (2)
فإذا افترضنا أن الإشارة الضوئية استغرقت زمن مقداره t0 لقطع المسافة من المصدر الضوئي إلى المرآة والعودة مرة أخرى. و يعطى هذا الزمن من العلاقة:
(1)
و هذا هو الزمن الذى يقيسه المراقب الذى يتحرك مع العربة، و يسمى هذا الزمن بالزمن الحقيقي.
و الآن نريد تحديد الزمن الذى سوف يعينه المراقب الموجود على الأرض. فى هذه الحالة تكون العربة ( المرآة و المصدر) متحركة بسرعة منتظمة مقدارها v بالنسبة لهذا الراصد.
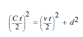
و نلاحظ أنه في الوقت التي تصل فيه الإشارة الضوئية إلى المرآة تكون هذه المرآة قد تحركت مسافة مقدارها v t /2 ، حيث أن هو زمن وصول النبضة الضوئية إلى المرآة و العودة مرة أخرى كما يراه المراقب الموجود على الأرض. و يتضح من الشكل (ب) أن الضوء يقطع مسافة أكبر بالنسبة للملاحظ الموجود على الأرض عنه بالنسبة للملاحظ الموجود داخل العربة.
الشكل (ب) يمكن أن يأخذ الشكل الآتي.
من الشكل السابق نجد أن
(2)
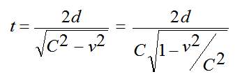
(3)
بالتعويض من المعادلة (1) في المعادلة (3) نحصل على:
(4)
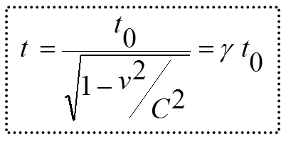
و حيث γ أن أكبر من الواحد فان t اكبر من t0 .
مما سبق نستنتج أن الزمن الذى يحسبه المراقب الموجود على الأرض أكبر من الزمن الذى يحسبه المراقب الموجود في العربة و هذا ما يسمى باستطالة أو تمدد الوقت Time Dilation.
الاكثر قراءة في النظرية النسبية الخاصة
اخر الاخبار
اخبار العتبة العباسية المقدسة