

تاريخ الرياضيات

الاعداد و نظريتها

تاريخ التحليل

تار يخ الجبر

الهندسة و التبلوجي


الرياضيات في الحضارات المختلفة

العربية

اليونانية

البابلية

الصينية

المايا

المصرية

الهندية


الرياضيات المتقطعة

المنطق

اسس الرياضيات

فلسفة الرياضيات

مواضيع عامة في المنطق


الجبر

الجبر الخطي

الجبر المجرد

الجبر البولياني

مواضيع عامة في الجبر

الضبابية

نظرية المجموعات

نظرية الزمر

نظرية الحلقات والحقول

نظرية الاعداد

نظرية الفئات

حساب المتجهات

المتتاليات-المتسلسلات

المصفوفات و نظريتها

المثلثات


الهندسة

الهندسة المستوية

الهندسة غير المستوية

مواضيع عامة في الهندسة

التفاضل و التكامل


المعادلات التفاضلية و التكاملية

معادلات تفاضلية

معادلات تكاملية

مواضيع عامة في المعادلات


التحليل

التحليل العددي

التحليل العقدي

التحليل الدالي

مواضيع عامة في التحليل

التحليل الحقيقي

التبلوجيا

نظرية الالعاب

الاحتمالات و الاحصاء

نظرية التحكم

بحوث العمليات

نظرية الكم

الشفرات

الرياضيات التطبيقية

نظريات ومبرهنات


علماء الرياضيات

500AD

500-1499

1000to1499

1500to1599

1600to1649

1650to1699

1700to1749

1750to1779

1780to1799

1800to1819

1820to1829

1830to1839

1840to1849

1850to1859

1860to1864

1865to1869

1870to1874

1875to1879

1880to1884

1885to1889

1890to1894

1895to1899

1900to1904

1905to1909

1910to1914

1915to1919

1920to1924

1925to1929

1930to1939

1940to the present

علماء الرياضيات

الرياضيات في العلوم الاخرى

بحوث و اطاريح جامعية

هل تعلم

طرائق التدريس

الرياضيات العامة

نظرية البيان
معكوس التحويلات الخطية
المؤلف:
علي جاسم التميمي
المصدر:
مقدمة في الجبر الخطي
الجزء والصفحة:
398-403
29-2-2016
7380
سنعمم في هذا البند المفاهيم الواردة في التحويلات الخطية T=Rn⟶Rm على التحويلات الخطية العامة.
تعريف (1-1):
يقال التحويلة T:V⟶W بأنها متباينة وتكتب (1,-1) او (one – to – one)، إذا كان كل متجه في المدى W هو صورة لمتجه واحد فقط في المنطلق V.
يمكن التعبير عن خاصية التباين جبرياً بالشكل:
إذا كانت T(v1) = T(v2) فإن v1 = v2 لكل V∊,v2 v1.
خواص التحويلات الخطية T:V⟶W
لتكن T:V⟶W تحويلة خطية فإن الخواص الآتية متكافئة:
1. متباينةT .
2. نواة T تحتوي على المتجه الصفري فقط. أي انها تحتوي على المتجه الصفري فقط. أي أن Ker T = 0
3. صفري T تساوي صفر. أي null (T) = 0
من السهولة برهان أن الخواص الثلاثة متكافئة. فإذ فرضنا أن T متباينة و v∊ker T فإن T(v) = 0 ولكن T(0) = 0 فإن v = 0 (لأن T متباينة) وعليه فإن نواة T تتكون من عنصر واحد هو العنصر الصفري [أي {0} Ker T =].
نفرض الآن أن Ker T = 0 و T(v1) = T(v2)
T(v1) – T(v2) = T(v1 – v2) [لأن Ker T ∊v1,v2]
إذن T(v1 - v2) = 0
عليه T v1-v2∊ker ومن هذا نستنتج أن T متباينة.
إذن (1) تكافئ (2) تكافئ (1).
نفرض (2) صحيحة. أي، Ker (T) = 0.
لما كان Ker T تحتوي على العنصر الصفري فإن بعد صفرية T يساوي صفر.
والآن نفرض (3) صحيحة. أي، صفرية T
تساوي صفر، بمعنى آخر
Null (T) = 0 لذا فإن بعد نواة T يساوي صفر.
عليه فإن Ker (T) يحتوي فقط على المتجه الصفري.
مثال(1):

أوجد بعد المدى وبعد نواة TA
الحل:
الشكل المدرج الصفي المختزل للمصفوفة A هي:
لإيجاد null (A) يجب أن نوجد بعد فضاء الحل للنظام الخطي المتجانس AX = 0 وبحل هذا النظام باختزال المصفوفة الممتدة للشكل المدرج السفي المختزل، سنحصل على المعادلات الآتية:

وبحل المعادلات أعلاه سنحصل على الحل العام للنظام وهو:

إذن المتجهات الأربعة هي أساس فضاء الحل. لذا فإن rank (A) = 2 و null(A) = 4 وبموجب المبرهنة (6-2-3) فإن rank (TA) = 2 و null (TA) = 4
مثال(2):

فإن TA ليست متباينة لأن A غير قابلة للانعكاس وذلك لأن محددها يساوي صفر لكون الصفين الأول والثاني أحدهما مضروب الآخر.
معكوس التحويلة الخطية العامة:
سبق وأن عرفنا معكوس العملية الخطية المتباينة Rn⟶TA:Rn. ولاحظنا أنه إذا كانت W هي صورة v تحت تأثير TA فإن TA-1 تعيد صورة w إلى v. سنحاول تعميم هذه الأفكار على العمليات الخطية العامة.
فإذا كانت T:V⟶W تحويلة خطية فإن مدى T هو فضاء جزئي من W يتكون من جميع صور المتجهات في V تحت تأثير T. إذا كانت T متباينة فإن كل متجه v في V يمتلك صورة وحيدة w = T(v) في مدى T. وحدانية الصورة هذه تساعدنا في تعريف معكوس T، يكتب T-1، التي تعيد الصور w إلى v، لاحظ الشكل (8-4).

شكل (1-1)
مثال(3) :
لتكن
تحويلة خطية معرفة بالشكل:
حيث P(x) متعددة حدود من الدرجة n أوجد T-1
الحل:
واضح أن T متباينة وعليه فإن T لها معكوس. كذلك:

مثال(4):
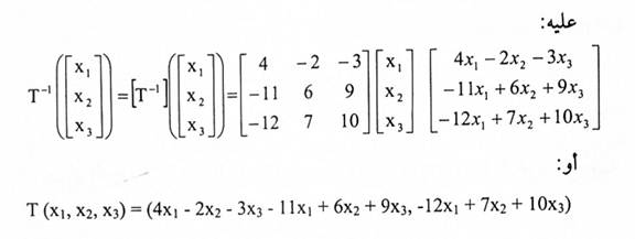
إذا كان R3⟶T:R3. تحويلة خطية معرفة بالشكل

الحل:


الاكثر قراءة في الجبر الخطي
اخر الاخبار
اخبار العتبة العباسية المقدسة
الآخبار الصحية

قسم الشؤون الفكرية يصدر كتاباً يوثق تاريخ السدانة في العتبة العباسية المقدسة
"المهمة".. إصدار قصصي يوثّق القصص الفائزة في مسابقة فتوى الدفاع المقدسة للقصة القصيرة
(نوافذ).. إصدار أدبي يوثق القصص الفائزة في مسابقة الإمام العسكري (عليه السلام)