
تاريخ الفيزياء

علماء الفيزياء


الفيزياء الكلاسيكية

الميكانيك

الديناميكا الحرارية


الكهربائية والمغناطيسية

الكهربائية

المغناطيسية

الكهرومغناطيسية


علم البصريات

تاريخ علم البصريات

الضوء

مواضيع عامة في علم البصريات

الصوت


الفيزياء الحديثة


النظرية النسبية

النظرية النسبية الخاصة

النظرية النسبية العامة

مواضيع عامة في النظرية النسبية

ميكانيكا الكم

الفيزياء الذرية

الفيزياء الجزيئية


الفيزياء النووية

مواضيع عامة في الفيزياء النووية

النشاط الاشعاعي


فيزياء الحالة الصلبة

الموصلات

أشباه الموصلات

العوازل

مواضيع عامة في الفيزياء الصلبة

فيزياء الجوامد


الليزر

أنواع الليزر

بعض تطبيقات الليزر

مواضيع عامة في الليزر


علم الفلك

تاريخ وعلماء علم الفلك

الثقوب السوداء


المجموعة الشمسية

الشمس

كوكب عطارد

كوكب الزهرة

كوكب الأرض

كوكب المريخ

كوكب المشتري

كوكب زحل

كوكب أورانوس

كوكب نبتون

كوكب بلوتو

القمر

كواكب ومواضيع اخرى

مواضيع عامة في علم الفلك

النجوم

البلازما

الألكترونيات

خواص المادة


الطاقة البديلة

الطاقة الشمسية

مواضيع عامة في الطاقة البديلة

المد والجزر

فيزياء الجسيمات


الفيزياء والعلوم الأخرى

الفيزياء الكيميائية

الفيزياء الرياضية

الفيزياء الحيوية

الفيزياء العامة


مواضيع عامة في الفيزياء

تجارب فيزيائية

مصطلحات وتعاريف فيزيائية

وحدات القياس الفيزيائية

طرائف الفيزياء

مواضيع اخرى
Information and the AdS Black Hole
المؤلف:
Leonard Susskind And James Lindesay
المصدر:
AN INTRODUCTION TO BLACK HOLES, INFORMATION, AND THE STRING THEORY REVOLUTION
الجزء والصفحة:
20-12-2015
2238
Information and the AdS Black Hole
The AdS black hole is an ideal laboratory for investigating how bulk quantum field theory fails when applied to the fine details of Hawking radiation. Let us consider some field that appears in the supergravity description of the bulk. Such objects are 10-dimensional fields and should not be confused with the 4-dimensional quantum fields associated with the boundary theory. A simple example is the minimally coupled scalar dilaton field φ. We will only consider dilaton fields which are constant on the 5- sphere. In that case the action for φ is the minimally coupled scalar action in 5-dimensional AdS.
(1.1)
The appropriate boundary conditions are φ → 0 at the boundary of the AdS, i.e. r→∞.
Plugging in the black hole metric, we find a number of things. First φ(r) ∼ r-4Φ as r → ∞. It is the value of Φ on the boundary which is identified with a local field in the boundary Super Yang-Mills theory. This is true both in pure AdS as well as in the AdS Schwarzschild metrics. Secondly, in the pure AdS background φ is periodic in time, but in the black hole metric φ goes to zero exponentially with time:
φ → exp−γt. (1.2)
Equation 1.2 has implications for quantum correlation functions in the black hole background. Consider the correlator
. Equation 1.2 requires it to behave like
(1.3)
for large |t – t'| The parameter γ depends on the black hole mass or temperature and has the form
(1.4)
where H is a dimensionless increasing function of its argument.
The meaning of this exponential decrease of the correlation function is that the effects of an initial perturbation at time t dissipate away and are eventually lost. In other words the system does not preserve any memory of the initial perturbation. This type of behavior is characteristic of large thermal systems where γ would correspond to some dissipation coefficient. However, exponential decay is not what is really expected for systems of finite entropy such as the AdS black hole that we are dealing with. Any quantum system with finite entropy preserves some memory of a perturbation. Since AdS is exactly described by a conventional quantum system it follows that the correlator should not go to zero. We shall now prove this assertion.
The essential point is that any quantum system with finite thermal entropy must have a discrete spectrum. This is because the entropy is essentially the logarithm of the number of states per unit energy. Indeed the spectrum of the boundary quantum field theory is obviously discrete since it is a theory defined on a finite sphere.
Let us now consider a general finite closed system described by a thermal density matrix and a thermal correlator of the form
(1.5)
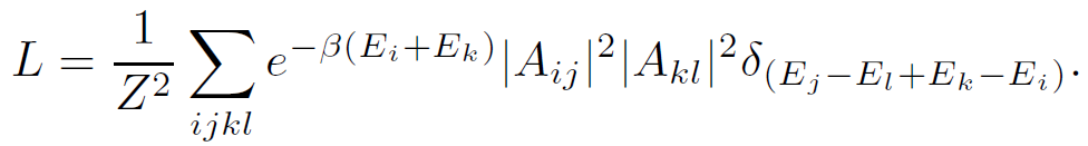
By finite we simply mean that the spectrum is discrete and the entropy finite. Inserting a complete set of (discrete) energy eigenstates gives
(1.6)
For simplicity we will assume that the operator A has no matrix elements connecting states of equal energy. This means that the time average of F vanishes.
Let us now consider the long time average of F(t)F∗ (t).
(1.7)
Using equation 1.6 it is easy to show that the long time average is
(1.8)
where the delta function is defined to be zero if the argument is nonzero and 1 if it is zero. The long time average L is obviously nonzero and positive. Thus it is not possible for the correlator F(t) to tend to zero as the time tends to infinity and the limits required by the AdS/CFT correspondence cannot exist. The value of the long time average for such finite systems can be estimated, and it is typically of the order e-S where S is the entropy of the system. This observation allows us to understand why it tends to zero in the (bulk) QFT approximation. In studying QFT in the vicinity of a horizon we have seen that the entropy is UV divergent. This is due to the enormous number of short wave length modes near the horizon. This leads us to a very important and general conclusion: any phenomenon which crucially depends on the finiteness of horizon entropy will be gotten wrong by the approximation of QFT in a fixed background. This includes questions of information loss and of particular interest in this lecture, the long-time behavior of correlation functions. How exactly do the correlations behave in the long time limit? The answer is not that they uniformly approach constants given by the long time averages. The expected behavior is that they fluctuate chaotically. A large fluctuation which reduces the entropy by amount ΔS has probability e-ΔS. Thus we can expect large fluctuations in the correlators at intervals of order eS. These fluctuations are analogous to the classical phenomenon of Poincare recurrences. I t is generally found that the large time behavior of correlators is chaotic “noise” with the long time average given by
L ∼ e-S. (1.9)
This long time behavior, missed by bulk quantum field theory, is a small part of the encoding of information in the thermal atmosphere of the AdS black hole.
الاكثر قراءة في الثقوب السوداء
اخر الاخبار
اخبار العتبة العباسية المقدسة
الآخبار الصحية

قسم الشؤون الفكرية يصدر كتاباً يوثق تاريخ السدانة في العتبة العباسية المقدسة
"المهمة".. إصدار قصصي يوثّق القصص الفائزة في مسابقة فتوى الدفاع المقدسة للقصة القصيرة
(نوافذ).. إصدار أدبي يوثق القصص الفائزة في مسابقة الإمام العسكري (عليه السلام)