
تاريخ الفيزياء

علماء الفيزياء


الفيزياء الكلاسيكية

الميكانيك

الديناميكا الحرارية


الكهربائية والمغناطيسية

الكهربائية

المغناطيسية

الكهرومغناطيسية


علم البصريات

تاريخ علم البصريات

الضوء

مواضيع عامة في علم البصريات

الصوت


الفيزياء الحديثة


النظرية النسبية

النظرية النسبية الخاصة

النظرية النسبية العامة

مواضيع عامة في النظرية النسبية

ميكانيكا الكم

الفيزياء الذرية

الفيزياء الجزيئية


الفيزياء النووية

مواضيع عامة في الفيزياء النووية

النشاط الاشعاعي


فيزياء الحالة الصلبة

الموصلات

أشباه الموصلات

العوازل

مواضيع عامة في الفيزياء الصلبة

فيزياء الجوامد


الليزر

أنواع الليزر

بعض تطبيقات الليزر

مواضيع عامة في الليزر


علم الفلك

تاريخ وعلماء علم الفلك

الثقوب السوداء


المجموعة الشمسية

الشمس

كوكب عطارد

كوكب الزهرة

كوكب الأرض

كوكب المريخ

كوكب المشتري

كوكب زحل

كوكب أورانوس

كوكب نبتون

كوكب بلوتو

القمر

كواكب ومواضيع اخرى

مواضيع عامة في علم الفلك

النجوم

البلازما

الألكترونيات

خواص المادة


الطاقة البديلة

الطاقة الشمسية

مواضيع عامة في الطاقة البديلة

المد والجزر

فيزياء الجسيمات


الفيزياء والعلوم الأخرى

الفيزياء الكيميائية

الفيزياء الرياضية

الفيزياء الحيوية

الفيزياء العامة


مواضيع عامة في الفيزياء

تجارب فيزيائية

مصطلحات وتعاريف فيزيائية

وحدات القياس الفيزيائية

طرائف الفيزياء

مواضيع اخرى
The Stretched Horizon
المؤلف:
Leonard Susskind And James Lindesay
المصدر:
AN INTRODUCTION TO BLACK HOLES, INFORMATION, AND THE STRING THEORY REVOLUTION
الجزء والصفحة:
16-12-2015
2287
The Stretched Horizon
Thus far our description of the near-horizon region of black holes, or Rindler space, has been in terms of quantum field theory in a fixed background geometry. But we have already run into a contradiction in applying quantum field theory, although we didn't spell it out. We found that the entropy per unit area of the horizon diverges as the cutoff ϵ tends to zero. That in itself is not a problem. What makes it a problem is that we later found that black hole thermodynamics requires the entropy to be A/4Gh. Free quantum field theory is giving too much entropy in modes very close to the horizon, where the local temperature diverges. The fact that the entropy is infinite in quantum field theory implies that any quantity that depends on the finiteness of the entropy will be miscalculated using quantum field theory. One possibility is that we have overestimated the entropy by assuming free field theory. Indeed that is so, but the effect goes in the wrong direction. The correct entropy density for a general field theory can always be parameterized by
S(T) = γ(T ) T 3
where γ(T) represents the number of “effective” degrees of freedom at temperature T .It is widely accepted and in many cases proven that γ(T) is a monotonically increasing function of T. Thus, conventional interactions are only likely to make things worse. What we need is some new kind of theory that has the effective number of degrees of freedom going to zero very close to the horizon. Let's suppose that ordinary quantum field theory is adequate down to distance scale ϵ.In order that the entropy at distance greater than ϵ not exceed the Bekenstein–Hawking value, we must have the rough inequality

Evidently at distances less than √Gh from the horizon the degrees of freedom must be very sparse, or even nonexistent. This leads to the idea that the mathematical horizon should be replaced by an effective membrane, or “stretched” horizon at a distance of roughtly one Planck length from the mathematical horizon.
Stretching the horizon has another benefit. Instead of being light-like, a system at the stretched horizon is time-like. This means that real dynamics and evolution can take place on the stretched horizon. As we will see, the stretched horizon has dynamics of its own that includes such phenomena as viscosity and electrical conductivity.
To see that the horizon of a black hole has electrical properties, it is sufficient to study electrodynamics in Rindler space. First let us define the stretched horizon. The metric is
(1.1)
The stretched horizon is just the surface
ρ = ρo (1.2)
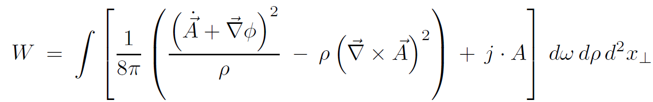
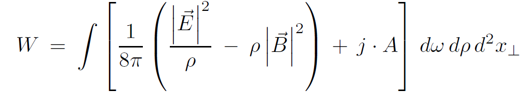
where ρo is a length of order the Planck length. The action for the electromagnetic field in Rindler space is
(1.3)
or, substituting the form of the metric
(1.4)
where
means
and φ = −A0, and j is a conserved current in the usual sense ∂μjμ = 0. As usual

With these definitions, the action becomes
(1.5)
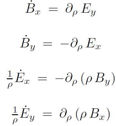
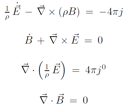
and the Maxwell equations are
(1.6)
We begin by considering electrostatics. By electrostatics we mean the study of fields due to stationary or slowly moving charges placed outside the horizon. Since the charges are slowly moving in Rindler coordinates, it means that they are experiencing proper acceleration. We also assume all length scales associated with the charges are much larger than ρo. In particular, the distance of the charges from the stretched horizon is macroscopic.
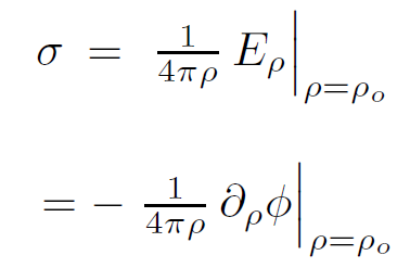
The surface charge density on the stretched horizon is easily defined. It is just the component of the electric field perpendicular to the stretched horizon, or more precisely
(1.7)
Working in the Coulomb gauge, the third expression in equation 1.6 becomes
(1.8)
near the stretched horizon. Thus
(1.9)
We can solve this equation near the horizon by the ansatz φ ∼ ρα.The right hand side will be smaller than the left hand side by 2 powers of ρ and can therefore be ignored. We easily find that α = 0 or α = 2. Thus we assume
(1.10)
Plugging equation 1.10 into equation 1.9 and evaluating at ρ = ρo gives
(1.11)
If ρo is much smaller than all other length scales, then equation 1.11 is simplified to
(1.12)
A similar equation can also be derived for the finite mass black hole.
Since the black hole horizon is compact, equation 1.12 proves that φ = constant on the horizon. This is an interesting result, which proves that the horizon behaves like an electrical conductor.
We can easily identify the surface current density. Taking the time derivative of equation 1.7 and using Maxwell's equations 1.6 gives
(1.13)
Evidently this is a continuity equation if we define:
(1.14)
Now let us consider an electromagnetic wave propagating toward the stretched horizon along the ρ axis. From Maxwell's equations we obtain
(1.15)
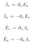
To make the equation more familiar, we can redefine the magnetic field
(1.16)
and use tortoise coordinates
u = log ρ
Equation 1.15 then becomes
(1.17)
The mathematical equations allow solutions in which the wave propagates in either direction along the u-axis. However the physics only makes sense for waves propagating toward the horizon from outside the black hole. For such waves, the Maxwell equations 1.17 give
βx = Ey
βy = −Ex (7.0.18)
or from equation 1.14

Evidently the horizon is an ohmic conductor with a resistivity of 4π. That corresponds to a surface resistance of 377Ω/square*. For example, if a circuit is constructed as in Figure 1.1, a current will flow precisely as if the horizon were a conducting surface.
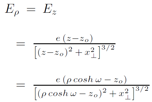
As a last example let us consider dropping a charged point particle into the horizon. Since the horizon is just ordinary flat space, one might conclude that the point charge just asymptotically approaches the horizon

Fig. 1.1. Battery, ammeter attached to horizon.
with the transverse charge density remaining point-like. However this is not at all what happens on the stretched horizon. This process is shown in Figure 1.2. Without loss of generality, we can take the charge to be at rest at position zo in Minkowski coordinates. To compute the surface charge density on the stretched horizon, we need to determine the field component Eρ. The calculation is easy because at any given time the Rindler coordinates are related to the Minkowski coordinates by a boost along the z-axis. Since the component of electric field along the boost direction is invariant, we can write the standard Coulomb field
(1.19)
Using 4π σ = Eρ/ρ|ρo we find
(1.20)
Now let's consider the surface density for large Rindler time.
(1.21)

Fig. 1.2. Charge falling past the stretched horizon.
To better understand this expression, it is convenient to rescale x⊥ using x⊥ = eω y⊥ to obtain
(1.22)
It is evident that the charge spreads out at an exponential rate with Rindler time. For a real black hole, it would spread over the horizon in a time
ω = log (Rs − ρo) = log (2MG − ρo)
or in terms of the Schwarzschild time
t = 4MGω = 4MGlog (2MG − ρo)
The exponential spreading of the charge is characteristic of an Ohm's law conductor. To see this we use Ohm's law j = conductivityE. Ta king the divergence gives
. Now use the continuity equation get the relation σ˙ ∼ −σ. Evidently the surface charge density will exponentially decrease, and conservation of charge will cause it to spread exponentially.
Thus we see that the horizon has the properties of a more or less conventional hot conducting membrane. In addition to temperature, entropy, and energy, it exhibits dissipative effects such as electrical resistivity and viscosity. The surprising and puzzling thing is that they are completely unnoticed by a freely falling observer who falls through the horizon.
________________________________________________________________________
∗The unit Ω/square is not a misprint. The resistance of a two-dimensional resistor is scale invariant and only depends on the shape.
الاكثر قراءة في الثقوب السوداء
اخر الاخبار
اخبار العتبة العباسية المقدسة
الآخبار الصحية

قسم الشؤون الفكرية يصدر كتاباً يوثق تاريخ السدانة في العتبة العباسية المقدسة
"المهمة".. إصدار قصصي يوثّق القصص الفائزة في مسابقة فتوى الدفاع المقدسة للقصة القصيرة
(نوافذ).. إصدار أدبي يوثق القصص الفائزة في مسابقة الإمام العسكري (عليه السلام)