
تاريخ الفيزياء

علماء الفيزياء


الفيزياء الكلاسيكية

الميكانيك

الديناميكا الحرارية


الكهربائية والمغناطيسية

الكهربائية

المغناطيسية

الكهرومغناطيسية


علم البصريات

تاريخ علم البصريات

الضوء

مواضيع عامة في علم البصريات

الصوت


الفيزياء الحديثة


النظرية النسبية

النظرية النسبية الخاصة

النظرية النسبية العامة

مواضيع عامة في النظرية النسبية

ميكانيكا الكم

الفيزياء الذرية

الفيزياء الجزيئية


الفيزياء النووية

مواضيع عامة في الفيزياء النووية

النشاط الاشعاعي


فيزياء الحالة الصلبة

الموصلات

أشباه الموصلات

العوازل

مواضيع عامة في الفيزياء الصلبة

فيزياء الجوامد


الليزر

أنواع الليزر

بعض تطبيقات الليزر

مواضيع عامة في الليزر


علم الفلك

تاريخ وعلماء علم الفلك

الثقوب السوداء


المجموعة الشمسية

الشمس

كوكب عطارد

كوكب الزهرة

كوكب الأرض

كوكب المريخ

كوكب المشتري

كوكب زحل

كوكب أورانوس

كوكب نبتون

كوكب بلوتو

القمر

كواكب ومواضيع اخرى

مواضيع عامة في علم الفلك

النجوم

البلازما

الألكترونيات

خواص المادة


الطاقة البديلة

الطاقة الشمسية

مواضيع عامة في الطاقة البديلة

المد والجزر

فيزياء الجسيمات


الفيزياء والعلوم الأخرى

الفيزياء الكيميائية

الفيزياء الرياضية

الفيزياء الحيوية

الفيزياء العامة


مواضيع عامة في الفيزياء

تجارب فيزيائية

مصطلحات وتعاريف فيزيائية

وحدات القياس الفيزيائية

طرائف الفيزياء

مواضيع اخرى
Classical Fields
المؤلف:
Leonard Susskind And James Lindesay
المصدر:
AN INTRODUCTION TO BLACK HOLES, INFORMATION, AND THE STRING THEORY REVOLUTION
الجزء والصفحة:
14-12-2015
1660
Classical Fields
First let us consider the evolution of a classical field in Rindler space. Can be described in a self-contained way. Obviously influences from Regions II and III can never be felt in Region since no point in Regions II or III is in the causal past of any point in Region I. Signals from Region IV can, of course, reach Region I, but to do so they must pass through the surface ω = −∞. Therefore signals from Region IV are regarded as initial data in the remote past by the Rindler observer. Evidently the Rindler observer sees a world in which physical phenomena can be described in a completely self-contained way.
The evolution from one surface of constant ω to another is governed by the Rindler Hamiltonian. Using conventional methods the generator of ω-translations is given by
(1.1)
where T 00 is the usual Hamiltonian density used by the Minkowski observer. For example, for a massive scalar field with potential V , T 00 is given by
(1.2)
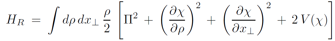
where Π is the canonical momentum conjugate to χ. The Rindler Hamiltonian is
(1.3)
The origin of the factor ρ in the Rindler Hamiltonian density is straightforward. The relation between neighboring equal Rindler-time surfaces is shown. The proper time separation between the surfaces is
(1.4)
Thus, to push the ω-surface ahead requires a ρ-dependent time translation. This is the reason that T 00 is weighted with the factor ρ. The Rindler Hamiltonian is similar to the generator of Lorentz boosts from the viewpoint of the Minkowski observer. However it only involves the degrees of freedom in Region I.
الاكثر قراءة في الثقوب السوداء
اخر الاخبار
اخبار العتبة العباسية المقدسة
الآخبار الصحية

قسم الشؤون الفكرية يصدر كتاباً يوثق تاريخ السدانة في العتبة العباسية المقدسة
"المهمة".. إصدار قصصي يوثّق القصص الفائزة في مسابقة فتوى الدفاع المقدسة للقصة القصيرة
(نوافذ).. إصدار أدبي يوثق القصص الفائزة في مسابقة الإمام العسكري (عليه السلام)