
تاريخ الفيزياء

علماء الفيزياء


الفيزياء الكلاسيكية

الميكانيك

الديناميكا الحرارية


الكهربائية والمغناطيسية

الكهربائية

المغناطيسية

الكهرومغناطيسية


علم البصريات

تاريخ علم البصريات

الضوء

مواضيع عامة في علم البصريات

الصوت


الفيزياء الحديثة


النظرية النسبية

النظرية النسبية الخاصة

النظرية النسبية العامة

مواضيع عامة في النظرية النسبية

ميكانيكا الكم

الفيزياء الذرية

الفيزياء الجزيئية


الفيزياء النووية

مواضيع عامة في الفيزياء النووية

النشاط الاشعاعي


فيزياء الحالة الصلبة

الموصلات

أشباه الموصلات

العوازل

مواضيع عامة في الفيزياء الصلبة

فيزياء الجوامد


الليزر

أنواع الليزر

بعض تطبيقات الليزر

مواضيع عامة في الليزر


علم الفلك

تاريخ وعلماء علم الفلك

الثقوب السوداء


المجموعة الشمسية

الشمس

كوكب عطارد

كوكب الزهرة

كوكب الأرض

كوكب المريخ

كوكب المشتري

كوكب زحل

كوكب أورانوس

كوكب نبتون

كوكب بلوتو

القمر

كواكب ومواضيع اخرى

مواضيع عامة في علم الفلك

النجوم

البلازما

الألكترونيات

خواص المادة


الطاقة البديلة

الطاقة الشمسية

مواضيع عامة في الطاقة البديلة

المد والجزر

فيزياء الجسيمات


الفيزياء والعلوم الأخرى

الفيزياء الكيميائية

الفيزياء الرياضية

الفيزياء الحيوية

الفيزياء العامة


مواضيع عامة في الفيزياء

تجارب فيزيائية

مصطلحات وتعاريف فيزيائية

وحدات القياس الفيزيائية

طرائف الفيزياء

مواضيع اخرى
Near the Horizon
المؤلف:
Leonard Susskind And James Lindesay
المصدر:
AN INTRODUCTION TO BLACK HOLES, INFORMATION, AND THE STRING THEORY REVOLUTION
الجزء والصفحة:
13-12-2015
2240
Near the Horizon
Near the horizon the exterior of the black hole may be described by the Rindler metric
dτ = ρ2 dω2 − dρ2 − dX2 − dY 2
It is useful to replace ρ by a tortoise-like coordinate which again goes to −∞ at the horizon. We define
u = logρ (1.1)
and the metric near the horizon becomes
(1.2)
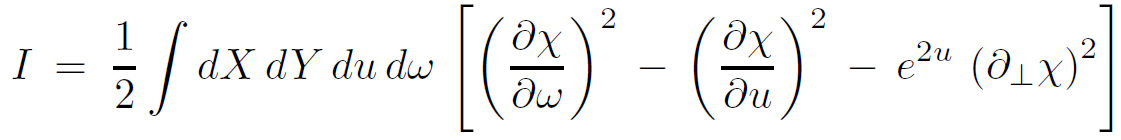
The scalar field action becomes
(1.3)
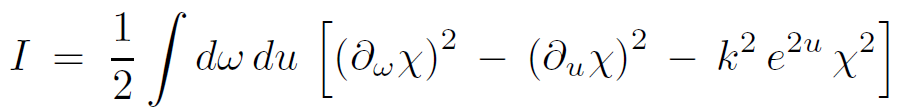
where ∂⊥χ = (∂X, ∂Y ).Instead of using spherical waves, near the horizon we can decompose χ into transverse plane waves with transverse wave vector
(1.4)
the action for a given wave number k is
(1.5)
Thus the potential is
V (k, u) = k2 e2u (1.6)
The correspondence between the momentum vector k and the angular momentum ℓ is given by the usual connection between momentum and angular momentum. If the horizon has circumference 2π(2MG), then a wave with wave vector k⊥ will correspond to an angular momentum |ℓ| = |k| r = 2MG|k|. Thus the potential in equation 1.6 is seen to be proportional to ℓ2. For very low angular momentum the approximation is not accurate, but qualitatively is correct for ℓ > 0.I n approximating a sum over ℓ and m by an integral over k, the integral should be infrared cut off at |k| ∼ 1/MG. From the action in equation 1.5 we obtain the equation of motion
(1.7)
A solution which behaves like exp(iνt) in Schwarzschild time has the form
(1.8)
The time independent form of the equation of motion is
(1.9)
Once again we see that unless k = 0, there is a potential confining quanta to the region near the horizon. Qualitatively, the behavior of a quantum field in a black hole background differs from the Rindler space approximation in that for the black hole, the potential barrier is cut off when ρ = eu is greater than MG. By contrast, in the Rindler case V increases as eu without bound.
We have not thus far paid attention to the boundary conditions at the horizon where u → −∞.Since in this region the field χ(u) behaves like a free massless field, the boundary condition would be expected to be that the field is in the usual quantum ground state. In the next section we will see that this is not so.
الاكثر قراءة في الثقوب السوداء
اخر الاخبار
اخبار العتبة العباسية المقدسة
الآخبار الصحية

قسم الشؤون الفكرية يصدر كتاباً يوثق تاريخ السدانة في العتبة العباسية المقدسة
"المهمة".. إصدار قصصي يوثّق القصص الفائزة في مسابقة فتوى الدفاع المقدسة للقصة القصيرة
(نوافذ).. إصدار أدبي يوثق القصص الفائزة في مسابقة الإمام العسكري (عليه السلام)