الزمكان الرباعي الأبعاد
المؤلف:
راسل ستانارد
المصدر:
النسبية (مقدمة قصية جدا)
الجزء والصفحة:
الفصل الأول (ص30 – ص37)
2023-02-11
2004
يمكن لكل هذا الحديث - عن كيف أن الراصدين المختلفين يدركون المكان والزمان على نحو متباين – أن يثير الحيرة والارتباك. وأحيانا يسمع المرء بعض الناس وهم يزعمون أن النظرية النسبية يمكن تلخيصها في عبارة «كل الأمور نسبية»؛ والتي تعني ضمنا أن الحرية للجميع وأن لأي شخص الحق في أن يعتقد ما يريد! بيد أن هذا أبعد ما يكون عن الحقيقة؛ فقد يخصص الراصدون قيما مختلفة للفترات الزمنية والمسافات المكانية، لكنهم متفقون حول الكيفية التي ترتبط بها تلك القيم بعضها ببعض، وذلك من خلال المعادلات التي اشتققناها لكل من الإبطاء الزمني وتقلص الأطوال. وهذه المعادلات تتحدد بكل دقة رياضية.
ليس هذا وحسب، بل إن ثمة قياسًا يمكن لجميع الراصدين الاتفاق حوله. دعوني أوضح؛ في الحياة اليومية المعتادة، نحن لا نمانع أن نتقبل فكرة أنه لو رفع شخص ما یده ممسكا بقلم رصاص في حجرة مليئة بالناس، فكل شخص منهم سيرى شيئا مختلفا؛ فالبعض سيرون قلما يبدو قصيرا، والبعض الآخر سيرونه طويلًا. يعتمد مظهر القلم على الموضع الذي ينظر منه الشخص إلى القلم؛ أي ما إذا كان ينظر إلى القلم من ناحية الطرف أم من الجانب. هل لاختلاف المنظور هذا أن يقلقنا؟ هل نجده مثيرا للحيرة والارتباك؟
كلا سبب هذا هو أننا جميعا نألف فكرة أن ما نراه ما هو سوى إسقاط ثنائي الأبعاد للقلم متعامد على خط الرؤية الخاص بنا (الشكل 1-11). إن ما يراه الفرد يمكن تسجيله على صورة فوتوغرافية تلتقطها كاميرا من نفس موضعه، والصور الفوتوغرافية ما إلا تمثيلات ثنائية الأبعاد للأجسام التي توجد في واقع الأمر داخل أبعاد مكانية ثلاثة. وإذا غيرت خط الرؤية فستحصل على إسقاط للطول p مختلف عن الطول الحقيقي l للقلم. نحن معتادون على التعايش مع مثل هذه الاختلافات؛ لأننا واعون أننا حين نضع في الاعتبار امتداد القلم في البعد المكاني الثالث على امتداد خط الرؤية – سيصل كل الراصدين داخل الحجرة إلى القيمة عينها للطول الفعلي للقلم؛ طوله داخل الأبعاد الثلاثة. فمن ينظرون للقلم من جهة الطرف؛ ومن ثم يرون إسقاطا قصيرا للطول، عليهم أن يضيفوا قيمة أكبر لعنصر الطول على امتداد خط الرؤية، بينما على من ينظرون للقلم من الجانب؛ ومن ثم يرون إسقاطا طويلا لطول القلم، فلن يضيفوا سوى قدر يعير لعنصر الطول على امتداد خط الرؤية. وفي كلتا الحالتين، سيصل الاثنان إلى القيمة عينها للطول الحقيقي للقلم في الأبعاد الثلاثة.

شكل 1-11: القلم الرصاص ذو الطول l له طول منعكس p متعامد على خط الرؤية للراصد.
نستخدم هذا التشبيه لشرح إدراكاتنا المختلفة للمكان والزمان. في عام 1908، بعد أن نشر أينشتاين نظرية النسبية الخاصة بثلاثة أعوام، تعامل أحد أساتذته – وهو هيرمان مينكوفسكي (الذي وصف أينشتاين ذات مرة بأنه «كلب كسول») – مع الموضوع من زاوية مختلفة واقترح تفسيرا إضافيا. اقترح مينكوفسكي أن النسبية تخبرنا بأن المكان والزمان يشبهان أحدهما الآخر أكثر كثيرا مما قد يتراءى لنا من واقع الطرق المتباينة التي ندرك بها كلا منهما ونقيسه. في الواقع، حري بنا التوقف عن التفكير فيهما بوصفهما ثلاثة أبعاد مكانية مضافًا إليها بُعد زماني منفصل. بل يجب اعتبارها «زمكانًا» رباعي الأبعاد، ٍ يلتحم داخله المكان والزمان على نحو غير قابل للفصم. إن الأبعاد المكانية الثلاثة التي نقيسها (بالمسطرة مثلا) ما هي إلا إسقاط ثلاثي الأبعاد للواقع الرباعي الأبعاد. والبُعد الزماني الواحد الذي نقيسه (بساعة الحائط) ما هو إلا إسقاط أحادي البعد للواقع الرباعي الأبعاد. وما القياسات التي تنبئنا بها المسطرة وساعة الحائط إلا «مظاهر»؛ وليست الواقع الحقيقي.
ستتغير المظاهر وفق منظور المرء. فبينما في حالة القلم المرفوع عاليًا كان التغير في المنظور يعني تغيير موضع الشخص داخل الحجرة نسبةً إلى القلم، ففي الزمكان يستلزم تغيير المنظور تغييرا في كل من المكان والزمان، ويتكون من تغير في السرعة (والتي هي المسافة المكانية مقسومة على الزمن). فالراصدون ذوو الحركة المتباينة لهم منظورات مختلفة؛ ومن ثَم هم يرصدون إسقاطات مختلفة للواقع الرباعي الأبعاد.
ما يُقترح هنا هو أن المخططات الزمكانية يجب عدم اعتبارها ببساطة محض رسوم بيانية للمسافات المكانية مجسدة على فترات زمنية. ففيما يخص الرسوم البيانية، للمرء مطلق الحرية في أن يجسد أي متغير يختاره قبالة أي متغير آخر. المخططات الزمكانية تفعل هذا، حيث أن لها أهمية إضافية: وهي أنها تجسد شريحة ثنائية الأبعاد مأخوذة على امتداد واقع رباعي الأبعاد.
ما هي طبيعة هذا الواقع الرباعي الأبعاد؟ ما هي محتويات الزمكان؟ تعتمد هذه الأمور على الأبعاد المكانية الثلاثة والبُعد الزماني. بعبارة أخرى: هي «أحداث». وهنا علينا التزام الحذر؛ فكلمة «حدث» في الاستخدام المعتاد يمكن أن تحمل بالعديد من المعاني؛ فالحرب العالمية الثانية، مثلا، يمكن الإشارة إليها بأنها حدث مهم في تاريخ العالم. وكلمة «حدث» في هذا السياق تتضمن كل ما وقع في الحرب، خلال الفترة ما بين عامي 1939 1945، بغض النظر عن مكان وقوعه. لكن في سياقنا الحالي تحمل الكلمة معنًى استثنائيا محددا؛ فالأحداث تتسم بأنها تقع في نقطة بعينها في المكان الثلاثي الأبعاد وفي لحظة بعينها من الزمن. إذن، تحدد أربعة أرقام بدقة موضع الحدث داخل الزمكان. قد يكون أحد الأحداث هو مغادرة المركبة الفضائية لكوكب الأرض في لحظة زمنية معينة. وقد يكون الحدث الثاني هو وصول المركبة إلى الكوكب البعيد في موضع مكاني مختلف وفي لحظة لاحقة من الزمن. وبينما في المكان الثلاثي الأبعاد نحن نألف فكرة أن الخطوط هي التي تربط النقاط المكانية المتجاورة، نجد في الزمكان أن الخطوط العالمية هي التي تربط الأحداث المتجاورة.
يختلف راصدانا رائد الفضاء ومسئول المراقبة بشأن «المظاهر»؛ بمعنى الاختلاف الزمني بين الحدثين، وأيضا الاختلاف المكاني بين الحدثين. ومع ذلك – هذه نقطة غاية في الأهمية – فهما يتفقان بشأن الفارق بين هذين الحدثين في الزمكان الرباعي الأبعاد؛ وهو ما سيشاركهما فيه جميع الراصدين الآخرين، بغض النظر عن سرعاتهم. وحقيقة أن جميع الراصدين متفقون على ما يوجد في الأبعاد الأربعة تعزز فكرة أن الزمكان هو الواقع الفعلي.

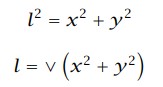
شكل 1-12: يمكن التعبير عن الطول l من خلال العنصرين x وy، وذلك وفقا لنظرية فيثاغورس.
إذن، ما المسافة بين الأحداث في الزمكان الرباعي الأبعاد؟ كما هو معروف، في المكان الثنائي الأبعاد، يمكن كتابة المسافة 1 بين النقطتين A وB من واقع الإسقاطين x وy على امتداد محورين متعامدين أحدهما على الآخر (الشكل 1-12). لعمل ذلك، سنستخدم نظرية فيثاغورس مجددا:

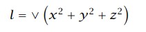
يمكن التوسع في هذا التعبير الرياضي لنغطي المسافة في المكان الثلاثي الأبعاد بواسطة إضافة حد يرتبط بمحور ثالث z متعامد على المحورين الآخرين:

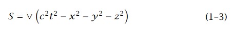
من الممكن تمثيل «المسافة» أو «الفترة الفاصلة» بين حدثين –ورمزها S – في الزمكان الرباعي الأبعاد من خلال تضمين حد رابع مرتبط بالمحور الرابع الزمني t ولكي نحصل على الوحدات في شكلها السليم (نظرا لأن المسافة تقاس بالأمتار بينما يقاس الزمن بالثواني)، يجب كتابة العنصر الرابع ct حتى يمكن قياسه هو أيضا بالأمتار. ثمة تعقيد آخر يتمثل في أنه: لكي يكون التعبير الرياضي الخاص بـ S هو نفسه بالنسبة لجميع الراصدين، يجب أن يحدد بطريقة معينة بحيث تظهر العناصر المكانية والزمانية بإشارات مختلفة:
(1-3)
هذا هو التعبير الرياضي الذي يتفق عليه جميع الراصدين بوصفه المسافة بين أي حدثين في الزمكان الرباعي الأبعاد.
إذا كان الحد الموجود على الجانب الأيمن من المعادلة رقم (3-1) – ذلك المعتمد على الزمن – هو المهيمن، نقول إذن إن الفترة «زمنية الطابع». إن قيمة S2 موجبة، ونحن نتحدث عن موقف يقع فيه الحدث اللاحق من بين الحدثين في المستقبل المطلق للحدث الأول (انظر الشكل 1-10)؛ ومن ثم ربما تربطه به علاقة سببية. على الجانب الآخر، إذا كان مجموع الحد المكاني أكبر من الحد الأول، نقول إن الفترة «مكانية الطابع». هنا S2 سالبة، والحدث اللاحق (هذا إن كان بالفعل الحدث اللاحق من بين الحدثين) يقع في المنطقة المسماة «غير ذلك» في الشكل 1-10. يفصل بين المنطقة زمنية الطابع والمنطقة مكانية الطابع المخروط الضوئي. على هذا المخروط تساوي قيمة S2 لأي حدثين صفرا. إن فكرة الواقع بوصفه رباعي الأبعاد غريبة وتجافي البديهة. وحتى أينشتاين نفسه في البداية كان يجد صعوبة في تقبل اقتراح مينكوفسكي، لكنه لاحقا اقتنع بالأمر وصرح قائلًا: «من الآن فصاعدا، علينا أن نتعامل مع الوجود الرباعي الأبعاد، وذلك بدلًا من تطور الوجود الثلاثي الأبعاد الذي ظللنا نتعامل معه حتى الآن.» بيد أن هذا لا يعني أن الزمن اختزل إلى مجرد بعد مكاني رابع وحسب؛ فرغم أنه ملتحم بالأبعاد الثلاثة الأخرى لتكون جميعا متصلا رباعي الأبعاد، فإنه لا يزال يحتفظ بسمة مميزة خاصة به. إن المخروط الضوئي يحيط بالمحور الزمني، وليس المحاور الأخرى. ويتحدد المستقبل المطلق والماضي المطلق وفق علاقتهما بالمحور الزمني فقط.
إن تقبل الواقع الرباعي الأبعاد أمر صعب؛ لأنه ليس من السهل تصور أمر كهذا؛ بل في الواقع، يعد تكوين صورة عقلية للأربعة محاور المتعامدة بعضها على بعض أمرا مستحيلًا. كلا، علينا التخلي عن الصور العقلية والسماح للرياضيات بأن ترشدنا السبيل. أحد الملامح المربكة للزمكان الرباعي الأبعاد هو أن لا شيء يتغير فيه. فالتغيرات تحدث في الزمان، لكن الزمكان لا يوجد في الزمن، بل الزمن هو الذي يوجد في الزمكان (بوصفه أحد محاوره). يبدو هذا أشبه بالقول بأن الزمن جميعه – الماضي والحاضر والمستقبل – موجود على نحو متساو. بعبارة أخرى: الأحداث التي عادة ما نعتقد أنها لم يعد لها وجود لأنها تقع في الماضي، موجودة بالفعل في الزمكان. وعلى نفس المنوال، الأحداث المستقبلية التي نظن في المعتاد أنها لم تقع بعد، موجودة هي الأخرى في الزمكان. لا يوجد في هذه الصورة ما يضفي على اللحظة الحاضرة – المسماة «الآن» – أي نوع من التميز؛ فما هي سوى فاصل بين الماضي والمستقبل.
نحن الآن بصدد عالم لا يصح فيه فقط أن المكان كله موجود عند كل نقطة في الزمان، بل أيضا أن الزمان كله موجود عند كل نقطة في المكان. وبعبارة أخرى: أينما تجلس الآن وأنت تقرأ هذا الكتاب، ليست فقط لحظتك الحاضرة موجودة، بل أيضا اللحظة التي بدأت تقرأ فيها الكتاب، واللحظة التي تقرر فيها لاحقا أنك اكتفيت من قراءته (ربما يرجع هذا إلى الصداع الذي تسببه الأمور المربكة التي نصفها الآن) وتنهض وتذهب كي تعد لنفسك قدحا من الشاي.
إننا نتعامل مع وجود ساكن على نحو عجيب، وجود يطلق عليه أحيانا «الكون الجامد». ربما لا تثير أي فكرة في الفيزياء الحديثة الجدل مثلما تثيره فكرة الكون الجامد. فمن الطبيعي أن نشعر أن ثمة شيئا «حقيقيا» بشأن اللحظة الحاضرة، وأن المستقبل غير مؤكد، وأن الماضي انتهى، وأن الزمان «يتدفق». وكل هذه الأفكار تتضافر كي تمنعنا من قبول فكرة أن الماضي لا يزال موجودا، وأن المستقبل أيضا موجود، وأنه ينتظرنا وحسب كي نمر به. وبعض كبار الفيزيائيين، رغم أنهم يقبلون فكرة أن جميع الراصدين متفقون على قيمة الكمية الرياضية التي نسميها «المسافة، أو الفترة الفاصلة، بين أي حدثين في الزمكان الرباعي الأبعاد»، فإنهم مع ذلك ينكرون أنّ علينا أن نخطو تلك الخطوة الإضافية واستنتاج أن الزمكان هو الطبيعة الحقيقية للواقع المادي. إنهم مقتنعون بأن الزمكان بنية رياضية وحسب، وليس أكثر من هذا. وهم عازمون على الاحتفاظ بالفكرة التي تبدو منطقية، والقائلة بأن الماضي لم يعد موجودا وأن المستقبل لم يوجد بعد، وأن كل ما هو موجود هو الحاضر. أعتقد أنك تميل إلى الاتفاق معهم. لكن قبل أن تعلن تأييدك لهم، ربما يجدر بك أن تتدبر بمزيد من العمق ما يمكن أن يكون عليه ذلك الكون الجامد البديل.
من المريح تماما القول إن كل ما هو موجود هو ما يحدث في اللحظة الحاضرة، لكن ما الذي تعنيه بالضبط بذلك؟ أنت على الأرجح تعني «أنني أقرأ هذا الكتاب في هذا الموقع المحدد.» لا بأس، لكني أتصور أنك ستضم أيضا ما يحدث في غير ذلك من الأماكن في اللحظة الحاضرة. على سبيل المثال، ربما يكون هناك رجل في نيويورك يرتقي الدرج. في اللحظة الحاضرة، هو يضع قدمه على الدرجة الأولى. وهكذا ستضيفه، وهو يضع قدمه على تلك الدرجة، إلى قائمة الكيانات الموجودة. لكن الآن افترض أن هناك رائد فضاء يحلقفي السماء فوقك مباشرة. بسبب فقدان التزامن الخاص بالأحداث المنفصلة، سيختلف معك بشأن ما يحدث في نيويورك في الوقت عينه الذي تقرأ فيه هذا الكتاب. فمن منظور رائد الفضاء، ذلك الرجل في نيويورك – في اللحظة الحالية – يضع قدمه على الدرجة الثانية، لا الأولى. علاوة على ذلك، فإن رائد فضاء ثانيا يحلق في مركبة تطير في اتجاه معاكس لاتجاه المركبة الأولى سيخلص إلى نتيجة ثالثة، وتحديدا أنه في اللحظة الحالية ذلك الرجل في نيويورك لم يصل بعد إلى الدرج. ها أنت ذا ترى المشكلة. من المريح تماما القول إن «كل ما هو موجود هو ما يحدث في اللحظة الحاضرة»، لكن لا يمكن أن يتفق معك الجميع بشأن ما يحدث بالفعل في اللحظة الحاضرة. ماذا يوجد في نيويورك؟ رجل يضع قدمه على الدرجة الأولى، أم رجل يضع قدمه على الدرجة الثانية، أم رجل لم يصل إلى الدرج بعد؟ وفق مفهوم الكون الجامد، لا مشكلة في هذا الأمر؛ إذ إن جميع البدائل الثلاثة في نيويورك موجودة. والجدل الوحيد القائم هو بشأن أي من تلك الأحداث الثلاثة الواقعة في نيويورك هو ما يختار المرء أن يصفه بأنه يملك نفس الإحداثي الزمني الذي تملكه أنت حيثما تكون. فالحركة النسبية تعني أن المرء ببساطة يأخذ شرائح مختلفة من الزمكان الرباعي الأبعاد بوصفها تمثل الأحداث الواقعة على امتداد الإحداثي الزمني عينه؛ «الآن». لكن بالطبع، لفكرة الكون الجامد مشكلاتها. من أين تأتي الطبيعة الخاصة المدركة للحظة «الآن»؟ ومن أين نحصل على الحس الحركي بتدفق الزمن؟ هذا لغز كبير لم يحل بعد، وربما يستعصي على الحل إلى الأبد. يبدو أن هذا الحس ليس نابعا من الفيزياء وقطعا ليس من فكرة الكون الجامد - بل من «إدراكنا الواعي» للعالم المادي. فلسبب ما غير معروف، يبدو الوعي وكأنه يعمل ككشاف ضوء يتقدم تدريجيا على امتداد المحور الزمني، بحيث ينتقي وقتيا لحظة من الزمن المادي ويميزها بوصفها تلك اللحظة الخاصة التي نسميها «الآن»؛ ثم يمضي الشعاع لينتقي اللحظة التالية كي يطلق عليها الاسم عينه. لكننا بهذا ندخل إلى عالم التخمينات. لذا، لنعاود الحديث عن النسبية.
الاكثر قراءة في النظرية النسبية الخاصة
اخر الاخبار
اخبار العتبة العباسية المقدسة