WHAT ARE THE PROPERTIES OF AN ELECTROMAGNETIC WAVE?
المؤلف:
Shabnam Siddiqui
المصدر:
Quantum Mechanics
الجزء والصفحة:
3
17-3-2021
1909
WHAT ARE THE PROPERTIES OF AN ELECTROMAGNETIC WAVE?
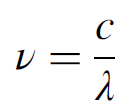
The electric and magnetic fields associated with electromagnetic waves carry energy. Such waves transport energy as they move in space. When electromagnetic waves impinge upon matter, they can transfer energy to it. This can lead to ionization of material due to breaking of the molecular bonds. Also, such waves can travel very long distances, and they can be reflected and absorbed by any material object in their path. There are many types of electromagnetic waves. However, such waves can be distinguished from each other by their frequency and wavelength. The frequency of an electromagnetic wave is the number of oscillations per second, wavelength is the distance at any instant between two consecutive peaks or valleys, and amplitude is the distance from the center line to the top of the peak or valley. The frequency and wavelength of such waves are inversely proportional to each other. The waves that have high frequency will be characterized by a small wavelength and vice versa. In a vacuum, the frequency of an electromagnetic wave is expressed by the following relationship:

where c is the speed of light (3 × 108 m/s), ν is frequency and λ is wavelength. Thus, all electromagnetic waves, no matter what their frequency is, travel with the speed of light in a vacuum.
الاكثر قراءة في الكهرومغناطيسية
اخر الاخبار
اخبار العتبة العباسية المقدسة