
تاريخ الفيزياء

علماء الفيزياء


الفيزياء الكلاسيكية

الميكانيك

الديناميكا الحرارية


الكهربائية والمغناطيسية

الكهربائية

المغناطيسية

الكهرومغناطيسية


علم البصريات

تاريخ علم البصريات

الضوء

مواضيع عامة في علم البصريات

الصوت


الفيزياء الحديثة


النظرية النسبية

النظرية النسبية الخاصة

النظرية النسبية العامة

مواضيع عامة في النظرية النسبية

ميكانيكا الكم

الفيزياء الذرية

الفيزياء الجزيئية


الفيزياء النووية

مواضيع عامة في الفيزياء النووية

النشاط الاشعاعي


فيزياء الحالة الصلبة

الموصلات

أشباه الموصلات

العوازل

مواضيع عامة في الفيزياء الصلبة

فيزياء الجوامد


الليزر

أنواع الليزر

بعض تطبيقات الليزر

مواضيع عامة في الليزر


علم الفلك

تاريخ وعلماء علم الفلك

الثقوب السوداء


المجموعة الشمسية

الشمس

كوكب عطارد

كوكب الزهرة

كوكب الأرض

كوكب المريخ

كوكب المشتري

كوكب زحل

كوكب أورانوس

كوكب نبتون

كوكب بلوتو

القمر

كواكب ومواضيع اخرى

مواضيع عامة في علم الفلك

النجوم

البلازما

الألكترونيات

خواص المادة


الطاقة البديلة

الطاقة الشمسية

مواضيع عامة في الطاقة البديلة

المد والجزر

فيزياء الجسيمات


الفيزياء والعلوم الأخرى

الفيزياء الكيميائية

الفيزياء الرياضية

الفيزياء الحيوية

الفيزياء والفلسفة

الفيزياء العامة


مواضيع عامة في الفيزياء

تجارب فيزيائية

مصطلحات وتعاريف فيزيائية

وحدات القياس الفيزيائية

طرائف الفيزياء

مواضيع اخرى
Xenon-135 Response to Reactor Power Changes
المؤلف:
U.S. Department of Commerce, National Technical Information Service, 1993
المصدر:
The Nuclear Physics and Reactor Theory Handbook
الجزء والصفحة:
p 40
21-4-2017
2551
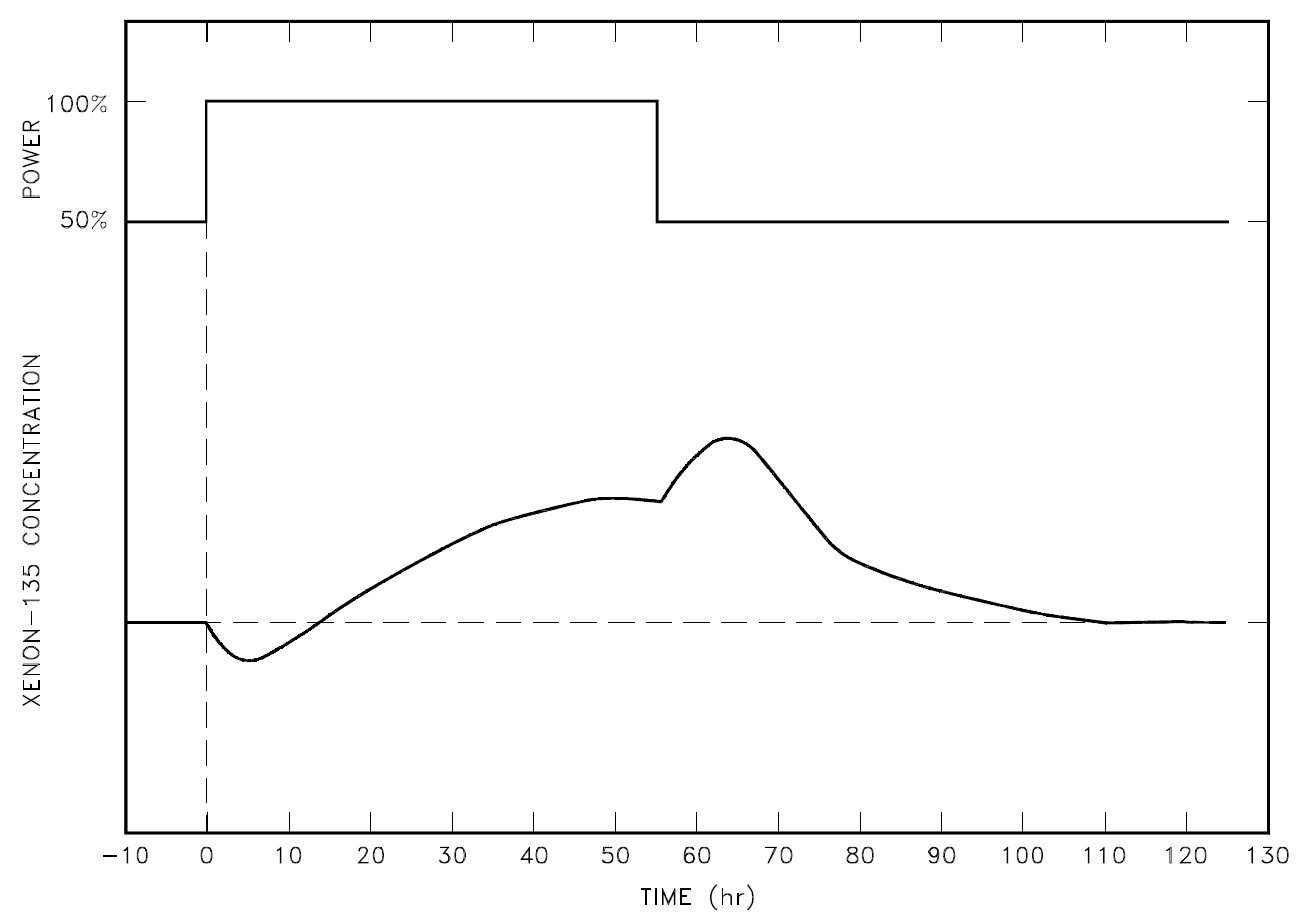
Xenon-135 Response to Reactor Power Changes
During periods of steady state operation, at a constant neutron flux level, the xenon-135 concentration builds up to its equilibrium value for that reactor power in about 40 to 50 hours. Figure 1 illustrates a typical xenon transient that occurs as a result of a change in reactor power level. At time zero, reactor power is raised from 50% power to 100% power. When the
reactor power is increased, xenon concentration initially decreases because the burnup is increased at the new higher power level. Because 95% of the xenon production is from iodine-135 decay, which has a 6 to 7 hour half-life, the production of xenon remains constant for several hours. After a few hours (roughly 4 to 6 hours depending on power levels) the rate of production of xenon from iodine and fission equals the rate of removal of xenon by burnup and decay. At this point, the xenon concentration reaches a minimum. The xenon concentration then increases to the new equilibrium level for the new power level in roughly 40 to 50 hours. It should be noted that the magnitude and the rate of change of xenon concentration during the initial 4 to 6 hours following the power change is dependent upon the initial power level and on the amount of change in power level. The xenon concentration change is greater for a larger change in power level.

Figure 1: Xenon-135 Variations During Power Changes
When reactor power is decreased from 100% to 50% power (t = 55 hours), the process is reversed. There is an immediate decrease in xenon burnup, which results in an increase in xenon-135 concentration. The iodine-135 concentration is still at the higher equilibrium level for 100% power and is therefore still producing xenon-135 at the higher rate. The xenon-135 concentration continues to rise until the rate of production of xenon-135 becomes equal to the rate of removal (roughly 7 to 8 hours after the initial reduction in power level). The xenon-135 concentration then gradually decreases to the new equilibrium level in about 50 to 60 hours. The magnitude of the xenon peak is greatest if the initial power level is very high.
Maximum peak xenon occurs when a reactor that is operating at 100% equilibrium xenon concentration is suddenly shut down. The most rapid possible burnout of xenon occurs when a reactor is started up and operated at full power while this maximum peak xenon condition exists.
الاكثر قراءة في مواضيع عامة في الفيزياء النووية
اخر الاخبار
اخبار العتبة العباسية المقدسة
الآخبار الصحية

قسم الشؤون الفكرية يصدر كتاباً يوثق تاريخ السدانة في العتبة العباسية المقدسة
"المهمة".. إصدار قصصي يوثّق القصص الفائزة في مسابقة فتوى الدفاع المقدسة للقصة القصيرة
(نوافذ).. إصدار أدبي يوثق القصص الفائزة في مسابقة الإمام العسكري (عليه السلام)