Chemical Potential of Ideal Gas
المؤلف:
Sidney B. Cahn, Gerald D. Mahan And Boris E. Nadgorny
المصدر:
A GUIDE TO PHYSICS PROBLEMS
الجزء والصفحة:
part 2 , p 21
25-8-2016
1564
Chemical Potential of Ideal Gas
Derive the expression for the Gibbs free energy and chemical potential of N molecules of an ideal gas at temperature τ, pressure P, and volume V. Assume that all the molecules are in the electronic ground state with degeneracy g. At what temperature is this approximation valid?
SOLUTION
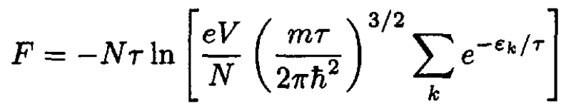
The expression for the Helmholtz free energy:
(1)
Since all the molecules are in the ground state, the sum only includes one term, which we can take as an energy zero, ε = 0. Then (1) becomes
(2)
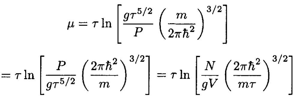
where we took into account a degeneracy of the ground state g. The Gibbs free energy G is then
(3)
where we have expressed G as a function of τ, P. The chemical potential μ = G/N, so we obtain, from (3),
(4)
This approximation is valid when the temperature is much lower than the energy difference ∆E between the electronic ground state and the first excited state; since this ∆E is comparable to the ionization energy εion, this condition is equivalent to τ << εion. However, even at temperatures τ ~ εion, the gas is almost completely ionized. Therefore (4) is always valid for a nonionized gas.
الاكثر قراءة في مواضيع اخرى
اخر الاخبار
اخبار العتبة العباسية المقدسة