
تاريخ الفيزياء

علماء الفيزياء


الفيزياء الكلاسيكية

الميكانيك

الديناميكا الحرارية


الكهربائية والمغناطيسية

الكهربائية

المغناطيسية

الكهرومغناطيسية


علم البصريات

تاريخ علم البصريات

الضوء

مواضيع عامة في علم البصريات

الصوت


الفيزياء الحديثة


النظرية النسبية

النظرية النسبية الخاصة

النظرية النسبية العامة

مواضيع عامة في النظرية النسبية

ميكانيكا الكم

الفيزياء الذرية

الفيزياء الجزيئية


الفيزياء النووية

مواضيع عامة في الفيزياء النووية

النشاط الاشعاعي


فيزياء الحالة الصلبة

الموصلات

أشباه الموصلات

العوازل

مواضيع عامة في الفيزياء الصلبة

فيزياء الجوامد


الليزر

أنواع الليزر

بعض تطبيقات الليزر

مواضيع عامة في الليزر


علم الفلك

تاريخ وعلماء علم الفلك

الثقوب السوداء


المجموعة الشمسية

الشمس

كوكب عطارد

كوكب الزهرة

كوكب الأرض

كوكب المريخ

كوكب المشتري

كوكب زحل

كوكب أورانوس

كوكب نبتون

كوكب بلوتو

القمر

كواكب ومواضيع اخرى

مواضيع عامة في علم الفلك

النجوم

البلازما

الألكترونيات

خواص المادة


الطاقة البديلة

الطاقة الشمسية

مواضيع عامة في الطاقة البديلة

المد والجزر

فيزياء الجسيمات


الفيزياء والعلوم الأخرى

الفيزياء الكيميائية

الفيزياء الرياضية

الفيزياء الحيوية

الفيزياء والفلسفة

الفيزياء العامة


مواضيع عامة في الفيزياء

تجارب فيزيائية

مصطلحات وتعاريف فيزيائية

وحدات القياس الفيزيائية

طرائف الفيزياء

مواضيع اخرى
Atomic Paramagnetism
المؤلف:
Sidney B. Cahn, Gerald D. Mahan And Boris E. Nadgorny
المصدر:
A GUIDE TO PHYSICS PROBLEMS
الجزء والصفحة:
part 2 , p 39
25-8-2016
1881
Atomic Paramagnetism
Consider a collection of N identical noninteracting atoms, each of which has total angular momentum J. The system is in thermal equilibrium at temperature τ and is in the presence of an applied magnetic field H = Hẑ. The magnetic dipole moment associated with each atom is given by μ = -gμBJ where g is the gyromagnetic ratio and μB is the Bohr magneton. Assume the system is sufficiently dilute so that the local magnetic field at each atom may be taken as the applied magnetic field.
a) For a typical atom in this system, list the possible values of μ, the magnetic moment along the magnetic field, and the corresponding magnetic energy associated with each state.
b) Determine the thermodynamic mean value of the magnetic moment μ and the magnetization of the system M, and calculate it for J = 1/2 and J = 1.
c) Find the magnetization of the system in the limits H → ∞ and H → 0, and discuss the physical meaning of the results.
SOLUTION
a) The energy associated with the magnetic field is
(1)
where m is an integer varying in the range –J ≤ m ≤ J.
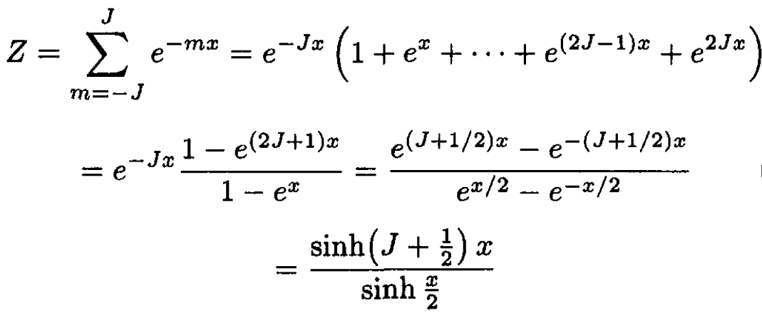
b) From (1) we may find the partition function Z:
(2)
where we define x ≡ gμBH/τ. The sum (2) may be easily calculated:
(3)
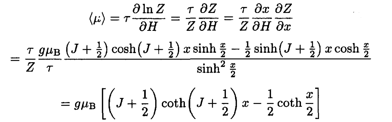
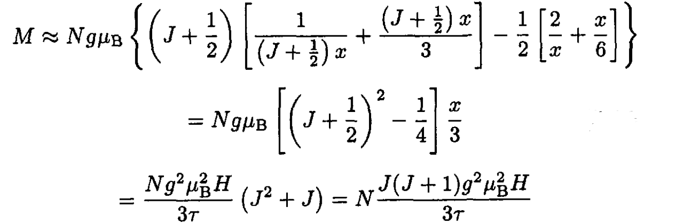
The mean magnetic moment per dipole 〈μ〉 is given by
(4)
Since the atoms do not interact,
(5)
For J = 1/2,
(6)
This result can be obtained directly from (3) and (4):
(7)
For J = 1,
(8)
(9)
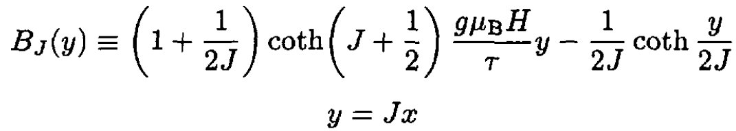
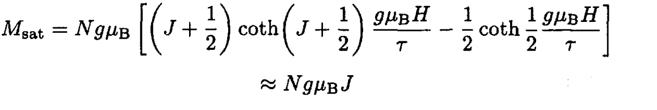
c) For large H the magnetization saturates (coth x → 1, x → ∞):
(10)
It is convenient to define the so-called Brillouin function BJ(x) in such a way that

So,

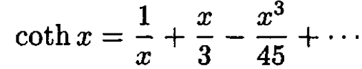
For small H, H → 0, we can expand coth x:

So,
(11)
The saturation value (10) corresponds to a classical dipole gμBJ per atom, where all the dipoles are aligned along the direction of H, whereas the value at small magnetic field H (11) reflects a competition between order (H) and disorder (τ).
الاكثر قراءة في مواضيع اخرى
اخر الاخبار
اخبار العتبة العباسية المقدسة
الآخبار الصحية

قسم الشؤون الفكرية يصدر كتاباً يوثق تاريخ السدانة في العتبة العباسية المقدسة
"المهمة".. إصدار قصصي يوثّق القصص الفائزة في مسابقة فتوى الدفاع المقدسة للقصة القصيرة
(نوافذ).. إصدار أدبي يوثق القصص الفائزة في مسابقة الإمام العسكري (عليه السلام)