Ramp Phase Shift
المؤلف:
Sidney B. Cahn, Gerald D. Mahan And Boris E. Nadgorny
المصدر:
A GUIDE TO PHYSICS PROBLEMS
الجزء والصفحة:
part 2 , p 73
19-8-2016
1834
Ramp Phase Shift
Use WKB to calculate the phase shift in one dimension of a particle of mass m confined by the ramp potential
(i)
SOLUTION
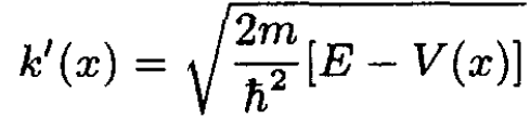
The following formula is for the phase shift in one dimension where the particle is free on the right (V(x) → 0 as x → ∞) and encounters an impenetrable barrier near the origin:
(1)
(2)
(3)
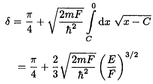
The factor π/4 is the phase change when the particle goes through the turning point where k'(C) = 0.
For the present problem we have that V = 0 for x > 0, and this part of the integral exactly cancels the term –kx. For x < 0 the potential is V = -Fx, assuming that F > 0. The turning point is C = -E/F, so we have
(4)
الاكثر قراءة في مواضيع اخرى
اخر الاخبار
اخبار العتبة العباسية المقدسة