Phase Shift for Inverse Quadratic
المؤلف:
Sidney B. Cahn, Gerald D. Mahan And Boris E. Nadgorny
المصدر:
A GUIDE TO PHYSICS PROBLEMS
الجزء والصفحة:
part 2 , p 73
19-8-2016
1593
Phase Shift for Inverse Quadratic
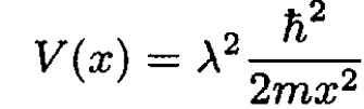
A particle of mass m moves in one dimension in the right half-space (x > 0) with the potential
(i)
where the dimensionless constant determines the strength of the potential. Use WKB to calculate the phase shift as a function of energy.
SOLUTION
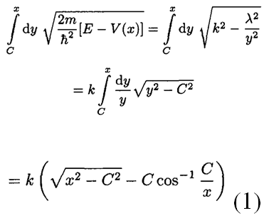
The turning point is C = λ/k. The phase integral is

The last integral is found in standard tables. To evaluate the phase shift, we need to evaluate this expression in the limit x → ∞, which gives kx – πλ/2. So the final expression for the phase shift is
(2)
The phase shift is independent of energy.
الاكثر قراءة في مواضيع اخرى
اخر الاخبار
اخبار العتبة العباسية المقدسة