Josephson Junction
المؤلف:
Sidney B. Cahn, Gerald D. Mahan And Boris E. Nadgorny
المصدر:
A GUIDE TO PHYSICS PROBLEMS
الجزء والصفحة:
part 2 , p 79
18-8-2016
1366
Josephson Junction
Consider superconducting metals I and II separated by a very thin insulating layer, such that that electron wave functions can overlap between the metals (Josephson junction). A battery V is connected across the junction to ensure an average charge neutrality (see Figure 1.1). This situation can be described by means of the coupled Schrodinger equations:
(i)
Here Ψ1 and Ψ2 are the probability amplitudes for an electron in I and II, U2 and U2 are the electric potential energies in I and II, K is the coupling constant due to the insulating layer, and KΨ1Ψ*2/Ψ*1 and KΨ2Ψ*1/Ψ*2 describe the battery as a source of electrons.
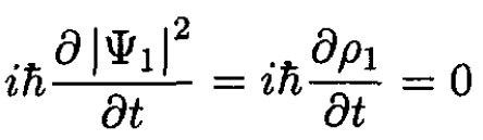
a) Show that ρ1 = |Ψ1|2 and ρ2 = |Ψ2|2 are constant in time.

Figure 1.1
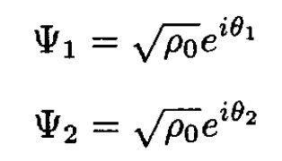
b) Assuming ρ1 = ρ2 = ρ0 (same metals) and expressing the probability amplitudes in the form
(ii)
find the differential equations for θ1 and θ2.
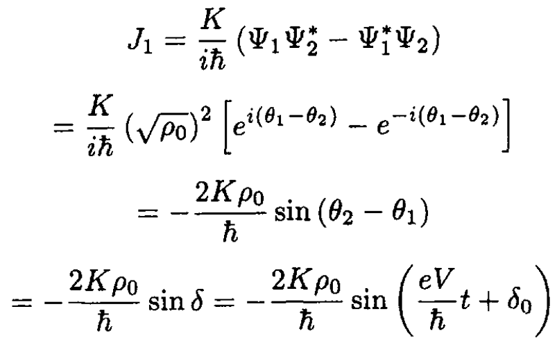
c) Show that the battery current
(iii)
oscillates, and find the frequency of these oscillations.
SOLUTION
a) Take the first of equations (i),
(1)
and its complex conjugate Ψ*1 and Ψ1 multiply them by and respectively:
(2)
(3)
Subtracting (3) from (2) yields
(4)
Similarly, from the second of (i),
(5)
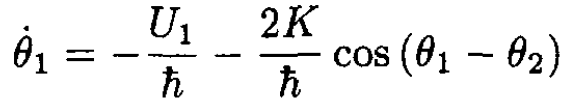
b) Substituting the solutions
and
into (1), we obtain the expression for θ1:
(6)
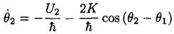
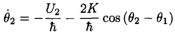
Taking (6), the analogous expression for θ2 gives
(7)
(8)
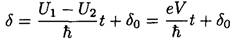
Subtracting (7) from (8), we obtain
(9)
where δ = θ2 – θ1. So
(10)
where eV = U1 – U2.
c) The battery current
(11)
الاكثر قراءة في مواضيع اخرى
اخر الاخبار
اخبار العتبة العباسية المقدسة