تاريخ الفيزياء
علماء الفيزياء
الفيزياء الكلاسيكية
الميكانيك
الديناميكا الحرارية
الكهربائية والمغناطيسية
الكهربائية
المغناطيسية
الكهرومغناطيسية
علم البصريات
تاريخ علم البصريات
الضوء
مواضيع عامة في علم البصريات
الصوت
الفيزياء الحديثة
النظرية النسبية
النظرية النسبية الخاصة
النظرية النسبية العامة
مواضيع عامة في النظرية النسبية
ميكانيكا الكم
الفيزياء الذرية
الفيزياء الجزيئية
الفيزياء النووية
مواضيع عامة في الفيزياء النووية
النشاط الاشعاعي
فيزياء الحالة الصلبة
الموصلات
أشباه الموصلات
العوازل
مواضيع عامة في الفيزياء الصلبة
فيزياء الجوامد
الليزر
أنواع الليزر
بعض تطبيقات الليزر
مواضيع عامة في الليزر
علم الفلك
تاريخ وعلماء علم الفلك
الثقوب السوداء
المجموعة الشمسية
الشمس
كوكب عطارد
كوكب الزهرة
كوكب الأرض
كوكب المريخ
كوكب المشتري
كوكب زحل
كوكب أورانوس
كوكب نبتون
كوكب بلوتو
القمر
كواكب ومواضيع اخرى
مواضيع عامة في علم الفلك
النجوم
البلازما
الألكترونيات
خواص المادة
الطاقة البديلة
الطاقة الشمسية
مواضيع عامة في الطاقة البديلة
المد والجزر
فيزياء الجسيمات
الفيزياء والعلوم الأخرى
الفيزياء الكيميائية
الفيزياء الرياضية
الفيزياء الحيوية
الفيزياء العامة
مواضيع عامة في الفيزياء
تجارب فيزيائية
مصطلحات وتعاريف فيزيائية
وحدات القياس الفيزيائية
طرائف الفيزياء
مواضيع اخرى
Powder of Dielectric Spheres
المؤلف:
Sidney B. Cahn Boris E. Nadgorny
المصدر:
A GUIDE TO PHYSICS PROBLEMS
الجزء والصفحة:
part 1 , p 48
11-8-2016
1412
Powder of Dielectric Spheres
A powder composed of small spherical particles (with ε = 4 and of radius R = 100 nm) is dispersed in vacuum with a concentration of n = 1012 particles per cm3. Find the effective dielectric constant ε' of this medium. Explain why the apparent answer,
(where V = 4πR3/3 is the volume of one particle) is wrong.
Hint: Make use of the fact that nR3 << 1. Exploit the spherical symmetry of the particles.
SOLUTION
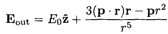
To find the effective dielectric constant, we must first find the polarization of the spherical particles. Consider a dielectric sphere placed in a uniform electric field Since the field at infinity is
and the field produced by the sphere must be a dipole field, try a solution outside the sphere:
(1)
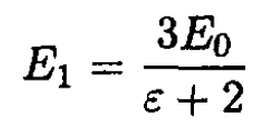
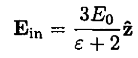
Inside the sphere, try a field oriented in the direction of the original field E0:
(2)
Figure 1.1
The usual boundary conditions apply:
(3)
(4)
Taking (3) and (4) at points A and B, respectively (see Figure 1.1),
(5)
(6)
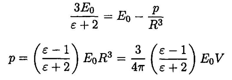
Solving (5) and (6) for yields
(7)
so
The dipole moment p is found by substituting (7) back into (6):
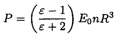
Using the condition nR2 << 1 (low concentration of particles), we can disregard the interaction between them. The polarization of the medium then is given by the dipole moment per unit volume. Here, we have n dipoles per unit volume, so
(8)
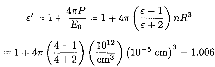
Now, D = ε' E0 = E0 +4πP, so
(9)
The apparent but wrong answer ε' = 1 + (ε – 1)nV comes about by neglecting the shape of the particles and considering ε' as the average of the dielectric constant of free space, 1, and the dielectric constant of the spheres, ε.
الاكثر قراءة في مواضيع اخرى
اخر الاخبار
اخبار العتبة العباسية المقدسة

الآخبار الصحية
