
تاريخ الفيزياء

علماء الفيزياء


الفيزياء الكلاسيكية

الميكانيك

الديناميكا الحرارية


الكهربائية والمغناطيسية

الكهربائية

المغناطيسية

الكهرومغناطيسية


علم البصريات

تاريخ علم البصريات

الضوء

مواضيع عامة في علم البصريات

الصوت


الفيزياء الحديثة


النظرية النسبية

النظرية النسبية الخاصة

النظرية النسبية العامة

مواضيع عامة في النظرية النسبية

ميكانيكا الكم

الفيزياء الذرية

الفيزياء الجزيئية


الفيزياء النووية

مواضيع عامة في الفيزياء النووية

النشاط الاشعاعي


فيزياء الحالة الصلبة

الموصلات

أشباه الموصلات

العوازل

مواضيع عامة في الفيزياء الصلبة

فيزياء الجوامد


الليزر

أنواع الليزر

بعض تطبيقات الليزر

مواضيع عامة في الليزر


علم الفلك

تاريخ وعلماء علم الفلك

الثقوب السوداء


المجموعة الشمسية

الشمس

كوكب عطارد

كوكب الزهرة

كوكب الأرض

كوكب المريخ

كوكب المشتري

كوكب زحل

كوكب أورانوس

كوكب نبتون

كوكب بلوتو

القمر

كواكب ومواضيع اخرى

مواضيع عامة في علم الفلك

النجوم

البلازما

الألكترونيات

خواص المادة


الطاقة البديلة

الطاقة الشمسية

مواضيع عامة في الطاقة البديلة

المد والجزر

فيزياء الجسيمات


الفيزياء والعلوم الأخرى

الفيزياء الكيميائية

الفيزياء الرياضية

الفيزياء الحيوية

الفيزياء والفلسفة

الفيزياء العامة


مواضيع عامة في الفيزياء

تجارب فيزيائية

مصطلحات وتعاريف فيزيائية

وحدات القياس الفيزيائية

طرائف الفيزياء

مواضيع اخرى
Potential of Halved Cylinder
المؤلف:
Sidney B. Cahn Boris E. Nadgorny
المصدر:
A GUIDE TO PHYSICS PROBLEMS
الجزء والصفحة:
part 1 , p 56
11-8-2016
1790
Potential of Halved Cylinder
Consider an infinitely long conducting cylinder of radius a with its axis coinciding with the z-axis. One half of the cylinder (cut the long way) (y > 0) is kept at a constant potential V0, while the other half (y < 0) is

Figure 1.1
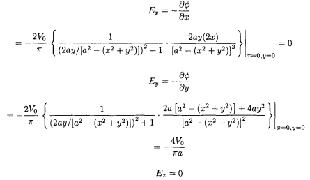
kept at a constant potential –V0 (see Figure 1.1). Find the potential for all points inside the cylinder and the field E along the z-axis.
SOLUTION
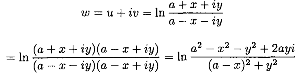
This problem can be solved by several methods. We will use conformal mapping. Namely, we will try to find a function ω (z), where z = x + iy, to transform the curves of equal potential (in the cross section of the three dimensional body) into parallel straight lines in the u – v plane, where ω = u + iv = f (x, y) +ig (x, y) with both f and g satisfying the Laplace’s equation. We can easily find the solution for the potential problem in the ω plane, and because of the properties of a conformal mapping, the functions u = f (x, y) or v = g (x, y) will be a solution to the initial potential problem. For this problem, we can use the transformation
(1)
This will transform a circle R = a into two straight lines (see Figure 1.2). The upper half of the cylinder will go into v = π/2, and the lower half will

Figure 1.2
go into v = -π/2. So we have
(2)
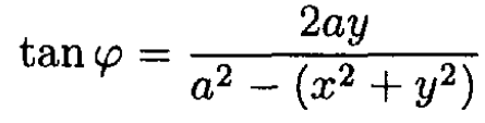
Denote the argument of the natural log as ρeiφ where ρ and φ are real. Then.

So v = φ. On the other hand,
(3)
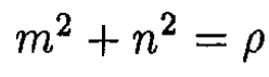
For a complex number m + in = ρeiφ, we have
(4)
(5)
Using (5), we obtain from (3)

or

So the potential which satisfies ϕ(v = -π/2) = -V0, ϕ(v = π/2) = V0 is
(6)
On the z-axis

A different solution to this problem may be found in Cronin, Greenberg.
الاكثر قراءة في مواضيع اخرى
اخر الاخبار
اخبار العتبة العباسية المقدسة
الآخبار الصحية

قسم الشؤون الفكرية يصدر كتاباً يوثق تاريخ السدانة في العتبة العباسية المقدسة
"المهمة".. إصدار قصصي يوثّق القصص الفائزة في مسابقة فتوى الدفاع المقدسة للقصة القصيرة
(نوافذ).. إصدار أدبي يوثق القصص الفائزة في مسابقة الإمام العسكري (عليه السلام)