
تاريخ الفيزياء

علماء الفيزياء


الفيزياء الكلاسيكية

الميكانيك

الديناميكا الحرارية


الكهربائية والمغناطيسية

الكهربائية

المغناطيسية

الكهرومغناطيسية


علم البصريات

تاريخ علم البصريات

الضوء

مواضيع عامة في علم البصريات

الصوت


الفيزياء الحديثة


النظرية النسبية

النظرية النسبية الخاصة

النظرية النسبية العامة

مواضيع عامة في النظرية النسبية

ميكانيكا الكم

الفيزياء الذرية

الفيزياء الجزيئية


الفيزياء النووية

مواضيع عامة في الفيزياء النووية

النشاط الاشعاعي


فيزياء الحالة الصلبة

الموصلات

أشباه الموصلات

العوازل

مواضيع عامة في الفيزياء الصلبة

فيزياء الجوامد


الليزر

أنواع الليزر

بعض تطبيقات الليزر

مواضيع عامة في الليزر


علم الفلك

تاريخ وعلماء علم الفلك

الثقوب السوداء


المجموعة الشمسية

الشمس

كوكب عطارد

كوكب الزهرة

كوكب الأرض

كوكب المريخ

كوكب المشتري

كوكب زحل

كوكب أورانوس

كوكب نبتون

كوكب بلوتو

القمر

كواكب ومواضيع اخرى

مواضيع عامة في علم الفلك

النجوم

البلازما

الألكترونيات

خواص المادة


الطاقة البديلة

الطاقة الشمسية

مواضيع عامة في الطاقة البديلة

المد والجزر

فيزياء الجسيمات


الفيزياء والعلوم الأخرى

الفيزياء الكيميائية

الفيزياء الرياضية

الفيزياء الحيوية

الفيزياء العامة


مواضيع عامة في الفيزياء

تجارب فيزيائية

مصطلحات وتعاريف فيزيائية

وحدات القياس الفيزيائية

طرائف الفيزياء

مواضيع اخرى
Green’s Reciprocation Theorem
المؤلف:
Sidney B. Cahn Boris E. Nadgorny
المصدر:
A GUIDE TO PHYSICS PROBLEMS
الجزء والصفحة:
part 1 , p 54
9-8-2016
1796
Green’s Reciprocation Theorem
a) Prove Green’s reciprocation theorem: If ϕ is the potential due to a volume charge density ρ within a volume V and a surface charge density σ on the conducting surface S bounding the volume V, while ϕ' is the potential due to another charge distribution ρ' and σ' then

b) A point charge q is placed between two infinite grounded parallel conducting plates. If z0 is the distance between q and the lower plate, find the total charge induced on the upper plate in terms of q, z0, and l, where l is the distance between the plates (see Figure 1.1). Show your method clearly.

Figure 1.1
SOLUTION
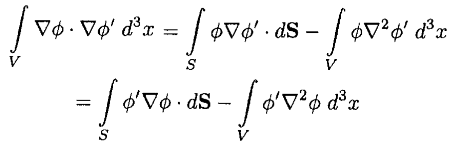
a) We may prove the theorem by considering the volume integral of the following expression:

Integrating by parts in two ways, we have
(1)
Now,
(where n points opposite to the directed area of the surface S) and
so dividing (1) by 4π yields the desired result:
(2)
b) Let us introduce a second potential given by ϕ' = 2πσ' z, corresponding to a surface charge density on the upper plate of σ' and on the lower plate of 0 (see Figure 1.2). This introduced potential has no charge in the volume, and the real potential is zero on the plates so that the right-hand side of (2) is zero, yielding

where Qi is the induced charge. So on the upper plate,


Figure 1.2
الاكثر قراءة في مواضيع اخرى
اخر الاخبار
اخبار العتبة العباسية المقدسة
الآخبار الصحية

قسم الشؤون الفكرية يصدر كتاباً يوثق تاريخ السدانة في العتبة العباسية المقدسة
"المهمة".. إصدار قصصي يوثّق القصص الفائزة في مسابقة فتوى الدفاع المقدسة للقصة القصيرة
(نوافذ).. إصدار أدبي يوثق القصص الفائزة في مسابقة الإمام العسكري (عليه السلام)