
تاريخ الفيزياء

علماء الفيزياء


الفيزياء الكلاسيكية

الميكانيك

الديناميكا الحرارية


الكهربائية والمغناطيسية

الكهربائية

المغناطيسية

الكهرومغناطيسية


علم البصريات

تاريخ علم البصريات

الضوء

مواضيع عامة في علم البصريات

الصوت


الفيزياء الحديثة


النظرية النسبية

النظرية النسبية الخاصة

النظرية النسبية العامة

مواضيع عامة في النظرية النسبية

ميكانيكا الكم

الفيزياء الذرية

الفيزياء الجزيئية


الفيزياء النووية

مواضيع عامة في الفيزياء النووية

النشاط الاشعاعي


فيزياء الحالة الصلبة

الموصلات

أشباه الموصلات

العوازل

مواضيع عامة في الفيزياء الصلبة

فيزياء الجوامد


الليزر

أنواع الليزر

بعض تطبيقات الليزر

مواضيع عامة في الليزر


علم الفلك

تاريخ وعلماء علم الفلك

الثقوب السوداء


المجموعة الشمسية

الشمس

كوكب عطارد

كوكب الزهرة

كوكب الأرض

كوكب المريخ

كوكب المشتري

كوكب زحل

كوكب أورانوس

كوكب نبتون

كوكب بلوتو

القمر

كواكب ومواضيع اخرى

مواضيع عامة في علم الفلك

النجوم

البلازما

الألكترونيات

خواص المادة


الطاقة البديلة

الطاقة الشمسية

مواضيع عامة في الطاقة البديلة

المد والجزر

فيزياء الجسيمات


الفيزياء والعلوم الأخرى

الفيزياء الكيميائية

الفيزياء الرياضية

الفيزياء الحيوية

الفيزياء والفلسفة

الفيزياء العامة


مواضيع عامة في الفيزياء

تجارب فيزيائية

مصطلحات وتعاريف فيزيائية

وحدات القياس الفيزيائية

طرائف الفيزياء

مواضيع اخرى
Field of a Moving Charge
المؤلف:
Sidney B. Cahn Boris E. Nadgorny
المصدر:
A GUIDE TO PHYSICS PROBLEMS
الجزء والصفحة:
part 1 , p 70
9-8-2016
1571
Field of a Moving Charge
A charged particle with charge q1 moves with constant velocity v along the z-axis (see Figure 1.1). Its potentials are

Where s = [(1-β2) (x2-y2) + (x-vt)2]1/2 and β = v/c

Figure 1.1
a) Show that ϕ and A satisfy the Lorentz condition

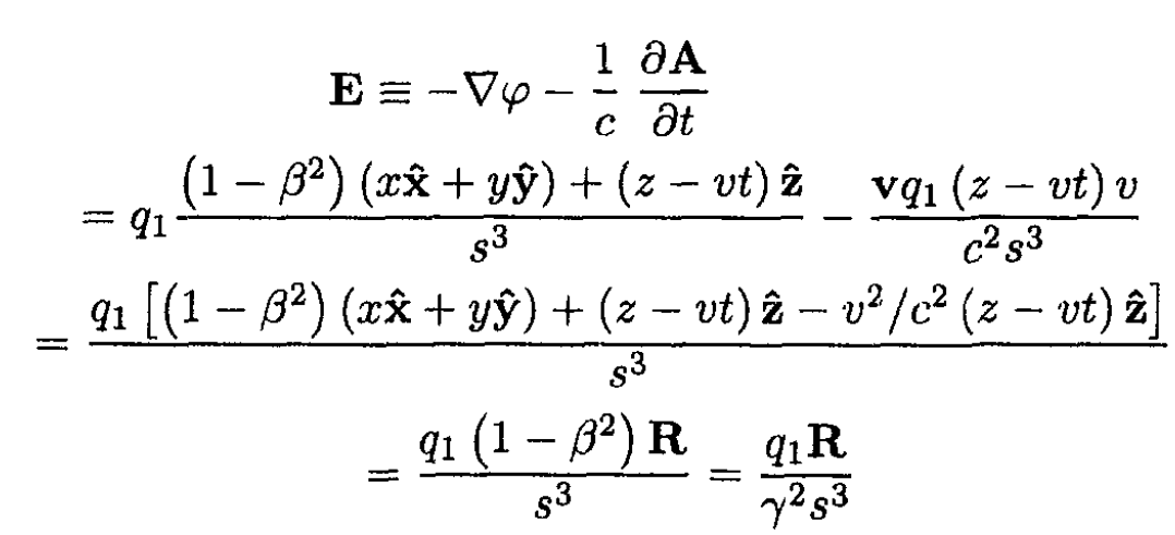
b) Calculate the fields E and B at point P (x, y, z) and time t. Show first that B = (v/c) × E, and calculate E explicitly. Show that E is parallel to n.
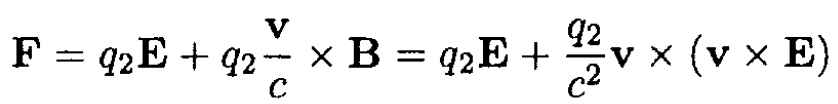
c) Assume at P a second particle with charge q2 moving with the same velocity v as the first. Calculate the force on q2.
SOLUTION
a) Differentiating, we obtain
(1)
and, since v lies only in the z direction (see Figure 1.2)
(2)
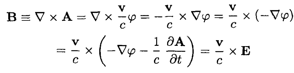
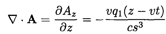
b) To calculate B, we recall from the definition of A that
(3)
where we have used the fact that

Now,
(4)

Figure 1.2
where
is the vector from the charge to point P and therefore is parallel to n. The same results can be obtained by calculating E in the moving frame (with the charge q1) and then taking the Lorentz transformation.
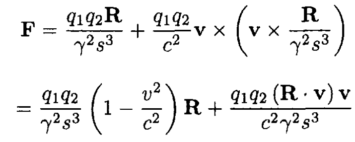
c) The force acting on charge q2 can be calculated as the force acting on q2 in the field of q1 from (4):
(5)
where we used (3). Substituting E from (4), we find

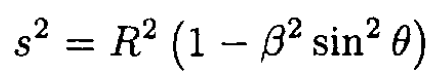
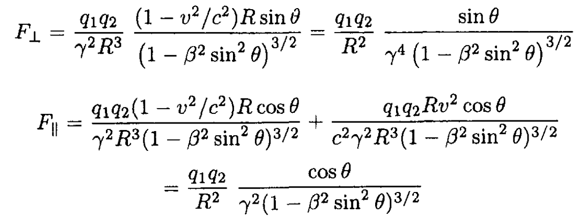
We can express through the angle θ between R and ẑ (see Figure 1.2):

where we used x2 + y2 = R2 sin θ, and so s = |R| (1- β2 sin2 θ)1/2. Now, F may be written as a sum of the projections perpendicular and parallel to the z direction:

الاكثر قراءة في مواضيع اخرى
اخر الاخبار
اخبار العتبة العباسية المقدسة
الآخبار الصحية

قسم الشؤون الفكرية يصدر كتاباً يوثق تاريخ السدانة في العتبة العباسية المقدسة
"المهمة".. إصدار قصصي يوثّق القصص الفائزة في مسابقة فتوى الدفاع المقدسة للقصة القصيرة
(نوافذ).. إصدار أدبي يوثق القصص الفائزة في مسابقة الإمام العسكري (عليه السلام)