
تاريخ الفيزياء

علماء الفيزياء


الفيزياء الكلاسيكية

الميكانيك

الديناميكا الحرارية


الكهربائية والمغناطيسية

الكهربائية

المغناطيسية

الكهرومغناطيسية


علم البصريات

تاريخ علم البصريات

الضوء

مواضيع عامة في علم البصريات

الصوت


الفيزياء الحديثة


النظرية النسبية

النظرية النسبية الخاصة

النظرية النسبية العامة

مواضيع عامة في النظرية النسبية

ميكانيكا الكم

الفيزياء الذرية

الفيزياء الجزيئية


الفيزياء النووية

مواضيع عامة في الفيزياء النووية

النشاط الاشعاعي


فيزياء الحالة الصلبة

الموصلات

أشباه الموصلات

العوازل

مواضيع عامة في الفيزياء الصلبة

فيزياء الجوامد


الليزر

أنواع الليزر

بعض تطبيقات الليزر

مواضيع عامة في الليزر


علم الفلك

تاريخ وعلماء علم الفلك

الثقوب السوداء


المجموعة الشمسية

الشمس

كوكب عطارد

كوكب الزهرة

كوكب الأرض

كوكب المريخ

كوكب المشتري

كوكب زحل

كوكب أورانوس

كوكب نبتون

كوكب بلوتو

القمر

كواكب ومواضيع اخرى

مواضيع عامة في علم الفلك

النجوم

البلازما

الألكترونيات

خواص المادة


الطاقة البديلة

الطاقة الشمسية

مواضيع عامة في الطاقة البديلة

المد والجزر

فيزياء الجسيمات


الفيزياء والعلوم الأخرى

الفيزياء الكيميائية

الفيزياء الرياضية

الفيزياء الحيوية

الفيزياء والفلسفة

الفيزياء العامة


مواضيع عامة في الفيزياء

تجارب فيزيائية

مصطلحات وتعاريف فيزيائية

وحدات القياس الفيزيائية

طرائف الفيزياء

مواضيع اخرى
Cylindrical Capacitor in Dielectric Bath
المؤلف:
Sidney B. Cahn Boris E. Nadgorny
المصدر:
A GUIDE TO PHYSICS PROBLEMS
الجزء والصفحة:
part 1 , p 51
9-8-2016
2188
Cylindrical Capacitor in Dielectric Bath
The electrostatic field energy Ue of a capacitor can be expressed as a function of a parameter x (e.g., the plate separation) and the fixed plate charge (no charging battery present) or as a function of and of the electromotive force Vb of a battery to which the plates are connected.
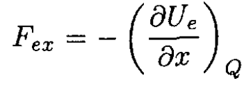
a) Show that the generalized force Fex corresponding to the parameter x is given by

b) Verify these formulae for the case of a parallel plate capacitor.
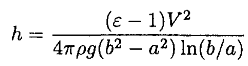
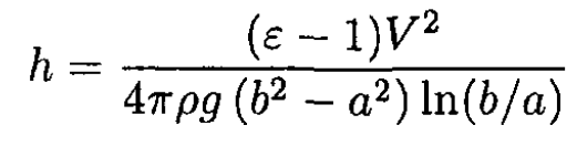
c) A cylindrical capacitor is lowered vertically into a reservoir of liquid dielectric of mass density ρ. If a voltage V is applied between the inner cylinder (radius a) and the outer shell (radius b), the liquid

Figure 1.1
rises to a height h between them (see Figure 1.1). Show that

SOLUTION
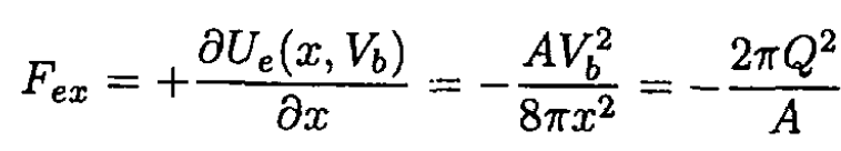
a) For the first case (fixed charge), the generalized force can be calculated as usual by considering the change in potential energy of the capacitor (field source) written in terms of the charge of the capacitor (which is a closed system). So, in this case,
(1)
If the capacitor is connected to the battery, it is no longer a closed system, and we have to consider the energy of the battery also. The battery must do some work to keep the potential of the plate constant. This work ∆W is

The energy change of the total system

Therefore, the force
(2)
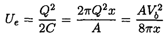
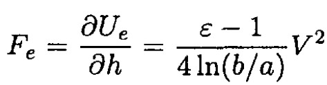
b) The energy of the capacitor

where A is the area of the plates. From (1)

In the case of constant voltage

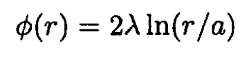
c) The capacitance of a cylindrical capacitor may be found by calculating the potential outside a uniformly charged cylinder. Gauss’s theorem gives
(3)
where λ is the linear charge density of the cylinder, and a is the radius of the cylinder. The potential of the outer cylinder of the capacitor in the problem is V. So
(4)
For a cylinder of length H, the capacitance may be found from (4) by substituting λ = Q/H:
(5)
(6)

Figure 1.2
For the capacitor of length H filled with dielectric up to a height (see Figure 1.2)

Here, we use (2) to obtain
(7)
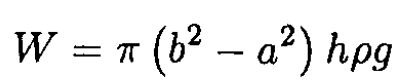
The liquid is drawn into the capacitor. The weight of the liquid in the capacitor
(8)
where π(b2 – a2) h is the volume of the liquid drawn up between the cylinders and ρ is the mass density of the liquid. Equating (7) and (8), we get

الاكثر قراءة في مواضيع اخرى
اخر الاخبار
اخبار العتبة العباسية المقدسة
الآخبار الصحية

قسم الشؤون الفكرية يصدر كتاباً يوثق تاريخ السدانة في العتبة العباسية المقدسة
"المهمة".. إصدار قصصي يوثّق القصص الفائزة في مسابقة فتوى الدفاع المقدسة للقصة القصيرة
(نوافذ).. إصدار أدبي يوثق القصص الفائزة في مسابقة الإمام العسكري (عليه السلام)