Conducting Sphere in Constant Magnetic Field
المؤلف:
Sidney B. Cahn Boris E. Nadgorny
المصدر:
A GUIDE TO PHYSICS PROBLEMS
الجزء والصفحة:
part 1 , p 62
8-8-2016
2056
Conducting Sphere in Constant Magnetic Field
A perfectly conducting sphere of radius R moves with constant velocity
through a uniform magnetic field B = B0ŷ (see Figure 1.1). Find the surface charge density induced on the sphere to lowest order in v/c.

Figure 1.1
SOLUTION
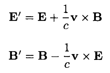
In the frame K' moving with velocity v, we have, to lowest order in v/c
(1)
In the lab frame K, we have E = 0 and B = B0ŷ. Using (1) for the frame K', we have an electric field in this frame
(2)
where E'0 = vB0/c. Now, we have a perfectly conducting sphere in a constant electric field, so we may write the potential outside the sphere in the form
(3)
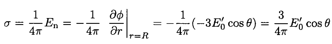
where θ is the angle between r and E', or, in this case, between r and ẑ (the origin of the spherical coordinates is at the center of the sphere). The surface charge density a is given by

Finally, substituting E'0 from (2), we have
(4)
الاكثر قراءة في مواضيع اخرى
اخر الاخبار
اخبار العتبة العباسية المقدسة