تاريخ الفيزياء
علماء الفيزياء
الفيزياء الكلاسيكية
الميكانيك
الديناميكا الحرارية
الكهربائية والمغناطيسية
الكهربائية
المغناطيسية
الكهرومغناطيسية
علم البصريات
تاريخ علم البصريات
الضوء
مواضيع عامة في علم البصريات
الصوت
الفيزياء الحديثة
النظرية النسبية
النظرية النسبية الخاصة
النظرية النسبية العامة
مواضيع عامة في النظرية النسبية
ميكانيكا الكم
الفيزياء الذرية
الفيزياء الجزيئية
الفيزياء النووية
مواضيع عامة في الفيزياء النووية
النشاط الاشعاعي
فيزياء الحالة الصلبة
الموصلات
أشباه الموصلات
العوازل
مواضيع عامة في الفيزياء الصلبة
فيزياء الجوامد
الليزر
أنواع الليزر
بعض تطبيقات الليزر
مواضيع عامة في الليزر
علم الفلك
تاريخ وعلماء علم الفلك
الثقوب السوداء
المجموعة الشمسية
الشمس
كوكب عطارد
كوكب الزهرة
كوكب الأرض
كوكب المريخ
كوكب المشتري
كوكب زحل
كوكب أورانوس
كوكب نبتون
كوكب بلوتو
القمر
كواكب ومواضيع اخرى
مواضيع عامة في علم الفلك
النجوم
البلازما
الألكترونيات
خواص المادة
الطاقة البديلة
الطاقة الشمسية
مواضيع عامة في الطاقة البديلة
المد والجزر
فيزياء الجسيمات
الفيزياء والعلوم الأخرى
الفيزياء الكيميائية
الفيزياء الرياضية
الفيزياء الحيوية
الفيزياء العامة
مواضيع عامة في الفيزياء
تجارب فيزيائية
مصطلحات وتعاريف فيزيائية
وحدات القياس الفيزيائية
طرائف الفيزياء
مواضيع اخرى
Conducting Cylinder and Line Charge
المؤلف:
Sidney B. Cahn Boris E. Nadgorny
المصدر:
A GUIDE TO PHYSICS PROBLEMS
الجزء والصفحة:
part 1 , p 46
8-8-2016
1515
Conducting Cylinder and Line Charge
The axis of a long, thin-walled, conducting, uncharged cylindrical shell of radius a is oriented along the x-axis as shown in Figure 1.1. A long, thin wire carrying a uniform linear charge density +λ runs parallel to the cylinder, at a distance R from the center. Use the method of images to find the electric potential in the x - y plane.
Figure 1.1
a) State the conditions that have to be met by the image charge. Find the potential on the surface of the shell relative to infinity.
b) Find the potential at any point ρ, φ in the x - y plane outside the cylinder.
Hint: It is possible to find an image charge such that the potential at infinity in the x-y plane is zero.
SOLUTION
a) The image line charge together with the wire should provide a constant potential on the surface of the cylinder. The potential due to the image
Figure 1.2
line charge at a distance ρ (point P in Figure 1.2) is
where λ' is the linear charge density and r is the distance from the axis of the cylinder to the line charge (see Figure 1.2). The potential due to the charged wire, similarly, is
From the condition that
(1)
goes to 0 as ρ → ∞, we have
(2)
Again taking for simplicity two opposite points A and B on the surface of the cylinder, we find
(3)
(4)
Subtracting (4) from (3) and using (2), we obtain
(5)
which yields the position of the image charge λ':
The potential on the surface
We can check (see (b)) that this is the potential for any two points on the surface of the cylinder.
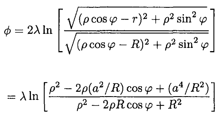
b) From (1) and (2), we have
In cylindrical coordinates, So
For ρ = a, ϕ = -2λ ln(R/a), as in (a).
الاكثر قراءة في مواضيع اخرى
اخر الاخبار
اخبار العتبة العباسية المقدسة

الآخبار الصحية
