
تاريخ الفيزياء

علماء الفيزياء


الفيزياء الكلاسيكية

الميكانيك

الديناميكا الحرارية


الكهربائية والمغناطيسية

الكهربائية

المغناطيسية

الكهرومغناطيسية


علم البصريات

تاريخ علم البصريات

الضوء

مواضيع عامة في علم البصريات

الصوت


الفيزياء الحديثة


النظرية النسبية

النظرية النسبية الخاصة

النظرية النسبية العامة

مواضيع عامة في النظرية النسبية

ميكانيكا الكم

الفيزياء الذرية

الفيزياء الجزيئية


الفيزياء النووية

مواضيع عامة في الفيزياء النووية

النشاط الاشعاعي


فيزياء الحالة الصلبة

الموصلات

أشباه الموصلات

العوازل

مواضيع عامة في الفيزياء الصلبة

فيزياء الجوامد


الليزر

أنواع الليزر

بعض تطبيقات الليزر

مواضيع عامة في الليزر


علم الفلك

تاريخ وعلماء علم الفلك

الثقوب السوداء


المجموعة الشمسية

الشمس

كوكب عطارد

كوكب الزهرة

كوكب الأرض

كوكب المريخ

كوكب المشتري

كوكب زحل

كوكب أورانوس

كوكب نبتون

كوكب بلوتو

القمر

كواكب ومواضيع اخرى

مواضيع عامة في علم الفلك

النجوم

البلازما

الألكترونيات

خواص المادة


الطاقة البديلة

الطاقة الشمسية

مواضيع عامة في الطاقة البديلة

المد والجزر

فيزياء الجسيمات


الفيزياء والعلوم الأخرى

الفيزياء الكيميائية

الفيزياء الرياضية

الفيزياء الحيوية

الفيزياء العامة


مواضيع عامة في الفيزياء

تجارب فيزيائية

مصطلحات وتعاريف فيزيائية

وحدات القياس الفيزيائية

طرائف الفيزياء

مواضيع اخرى
Cue-Struck Billiard Ball
المؤلف:
Sidney B. Cahn And Boris E. Nadgorny
المصدر:
A GUIDE TO PHYSICS PROBLEMS
الجزء والصفحة:
part 1 , p 4
28-7-2016
1833
Cue-Struck Billiard Ball
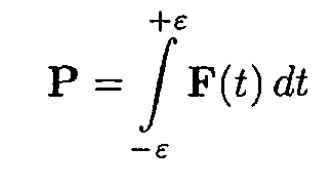
Consider a homogeneous billiard ball of mass m and radius R that moves on a horizontal table. Gravity acts downward. The coefficient of kinetic friction between the ball and the table is μ, and you are to assume that there is no work done by friction for pure rolling motion. At time t = 0 the ball is struck with a cue, which delivers a force pulse of short duration. Its impulse is

a) The point of contact between the cue and the ball is at the “equator” and the direction of the force is toward the center of the ball. Calculate the time at which pure rolling motion begins. What is the final speed of the center of mass of the ball?
b) At what height h above the center must the cue strike the ball so that rolling motion starts immediately (see Figure1.1)?

Figure1.1
SOLUTION
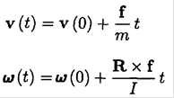
a) Introduce a frame of reference with the origin at the center of the ball (see Figure 1.2a). Since the direction of the force is toward the center of the ball there is no torque at t = 0. (We consider a very short pulse.) So one can define the initial conditions of the ball’s movement from the

Figure 1.2a
equations
(1)

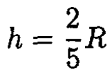
where v(0) and ω(0) are the velocity and angular velocity at t = 0 and I is the moment of inertia of the ball I = (2/5) mR2. So we have v(0) = P/m and ω(0) = 0. Subsequent motion of the ball will be given by
(2)
where f is a friction force
and ω = ωŷ. In our geometry, (2) may be rewritten in the form
(3)
The ball will roll without slipping when v = ω × R or v = ωR. Using
(3), we obtain the time tR when pure rolling motion begins:

The final speed vf of the center of mass of the ball is given by

b) Using (1) from part (a) for the initial conditions, we obtain


Figure 1.2b
Again using the condition v(0) = ω(0) R for rolling without slipping, we have (see Figure 1.2b)

and

الاكثر قراءة في مواضيع اخرى
اخر الاخبار
اخبار العتبة العباسية المقدسة
الآخبار الصحية

قسم الشؤون الفكرية يصدر كتاباً يوثق تاريخ السدانة في العتبة العباسية المقدسة
"المهمة".. إصدار قصصي يوثّق القصص الفائزة في مسابقة فتوى الدفاع المقدسة للقصة القصيرة
(نوافذ).. إصدار أدبي يوثق القصص الفائزة في مسابقة الإمام العسكري (عليه السلام)