تاريخ الفيزياء
علماء الفيزياء
الفيزياء الكلاسيكية
الميكانيك
الديناميكا الحرارية
الكهربائية والمغناطيسية
الكهربائية
المغناطيسية
الكهرومغناطيسية
علم البصريات
تاريخ علم البصريات
الضوء
مواضيع عامة في علم البصريات
الصوت
الفيزياء الحديثة
النظرية النسبية
النظرية النسبية الخاصة
النظرية النسبية العامة
مواضيع عامة في النظرية النسبية
ميكانيكا الكم
الفيزياء الذرية
الفيزياء الجزيئية
الفيزياء النووية
مواضيع عامة في الفيزياء النووية
النشاط الاشعاعي
فيزياء الحالة الصلبة
الموصلات
أشباه الموصلات
العوازل
مواضيع عامة في الفيزياء الصلبة
فيزياء الجوامد
الليزر
أنواع الليزر
بعض تطبيقات الليزر
مواضيع عامة في الليزر
علم الفلك
تاريخ وعلماء علم الفلك
الثقوب السوداء
المجموعة الشمسية
الشمس
كوكب عطارد
كوكب الزهرة
كوكب الأرض
كوكب المريخ
كوكب المشتري
كوكب زحل
كوكب أورانوس
كوكب نبتون
كوكب بلوتو
القمر
كواكب ومواضيع اخرى
مواضيع عامة في علم الفلك
النجوم
البلازما
الألكترونيات
خواص المادة
الطاقة البديلة
الطاقة الشمسية
مواضيع عامة في الطاقة البديلة
المد والجزر
فيزياء الجسيمات
الفيزياء والعلوم الأخرى
الفيزياء الكيميائية
الفيزياء الرياضية
الفيزياء الحيوية
الفيزياء العامة
مواضيع عامة في الفيزياء
تجارب فيزيائية
مصطلحات وتعاريف فيزيائية
وحدات القياس الفيزيائية
طرائف الفيزياء
مواضيع اخرى
Cube Bouncing off Wall
المؤلف:
Sidney B. Cahn And Boris E. Nadgorny
المصدر:
A GUIDE TO PHYSICS PROBLEMS
الجزء والصفحة:
part 1 , p 4
25-7-2016
1853
Cube Bouncing off Wall
An elastic cube sliding without friction along a horizontal floor hits a vertical wall with one of its faces parallel to the wall. The coefficient of friction between the wall and the cube is μ. The angle between the direction of the velocity v of the cube and the wall is α. What will this angle be after the collision (see Figure 1.1 for a bird's-eye view of the collision)?
Figure 1.1
SOLUTION
There are two forces acting on the cube. One is the normal reaction N(t), perpendicular to the wall, and the other is the force of friction Ffr(t), parallel to the wall (see Figure 1.2). We expect that, as a result of the collision, the cube’s velocity v will change to v'. In the direction perpendicular to
Figure 1.2
the wall, the collision is elastic, i.e., the velocity in the direction merely changes sign: v'x = -vx = -v sin α. Therefore, the momentum changes by -2mv sinα in
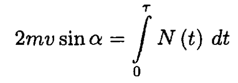
the direction. This change is due to the normal reaction N(t). So, according to Newton’s second law:
(1)
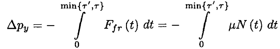
Where τ is the collision time. If there were no friction, the parallel velocity component would not change and the angle would remain the same. However, in the actual case, the ŷ component changes and
(2)
Here τ' is the time at which the velocity vy goes to zero. So, from (2)
(3)
First assume that τ < τ', i.e., v'y is not zero. Then we have from (1)
and
or
Therefore, the angle β between the velocity v' and the wall is given by
If 1-2μ tanα = 0, then tanα = (1/2μ) and tanβ goes to infinity, which corresponds to β = π/2. Now if 1-2μ tanα < 0 (vy goes to zero before the collision ends; v'y cannot become negative), then τ > τ', and the cube will leave perpendicular to the wall. Therefore,
الاكثر قراءة في مواضيع اخرى
اخر الاخبار
اخبار العتبة العباسية المقدسة

الآخبار الصحية
