
تاريخ الفيزياء

علماء الفيزياء


الفيزياء الكلاسيكية

الميكانيك

الديناميكا الحرارية


الكهربائية والمغناطيسية

الكهربائية

المغناطيسية

الكهرومغناطيسية


علم البصريات

تاريخ علم البصريات

الضوء

مواضيع عامة في علم البصريات

الصوت


الفيزياء الحديثة


النظرية النسبية

النظرية النسبية الخاصة

النظرية النسبية العامة

مواضيع عامة في النظرية النسبية

ميكانيكا الكم

الفيزياء الذرية

الفيزياء الجزيئية


الفيزياء النووية

مواضيع عامة في الفيزياء النووية

النشاط الاشعاعي


فيزياء الحالة الصلبة

الموصلات

أشباه الموصلات

العوازل

مواضيع عامة في الفيزياء الصلبة

فيزياء الجوامد


الليزر

أنواع الليزر

بعض تطبيقات الليزر

مواضيع عامة في الليزر


علم الفلك

تاريخ وعلماء علم الفلك

الثقوب السوداء


المجموعة الشمسية

الشمس

كوكب عطارد

كوكب الزهرة

كوكب الأرض

كوكب المريخ

كوكب المشتري

كوكب زحل

كوكب أورانوس

كوكب نبتون

كوكب بلوتو

القمر

كواكب ومواضيع اخرى

مواضيع عامة في علم الفلك

النجوم

البلازما

الألكترونيات

خواص المادة


الطاقة البديلة

الطاقة الشمسية

مواضيع عامة في الطاقة البديلة

المد والجزر

فيزياء الجسيمات


الفيزياء والعلوم الأخرى

الفيزياء الكيميائية

الفيزياء الرياضية

الفيزياء الحيوية

الفيزياء العامة


مواضيع عامة في الفيزياء

تجارب فيزيائية

مصطلحات وتعاريف فيزيائية

وحدات القياس الفيزيائية

طرائف الفيزياء

مواضيع اخرى
Cat and Mouse Tug of War
المؤلف:
Sidney B. Cahn And Boris E. Nadgorny
المصدر:
A GUIDE TO PHYSICS PROBLEMS
الجزء والصفحة:
part 1 , p 3
25-7-2016
1860
Cat and Mouse Tug of War
A rope is wrapped around a fixed cylinder as shown in Figure 1.1. There is friction between the rope and the cylinder, with a coefficient of friction

Figure 1.1
μi the angle θ0 = π/3 defines the arc of the cylinder covered by the rope. The rope is much thinner than the cylinder. A cat is pulling on one end of the rope with a force F while 10 mice can just barely prevent it from sliding by applying a total force f = F/10.
a) Does the minimum force necessary to prevent the rope from sliding depend on the diameter of the cylinder?
b) Through what minimum angle about the cylinder should one mouse wrap the rope in order to prevent the cat from winning the game of tug of war?
SOLUTION
a) The straightforward solution is given in (b). However, to answer the first part, we can use dimensional analysis. The force f applied by the mice may depend only on the dimensionless coefficient of friction μ, the cylinder diameter d, and the force F :

where G(μ) is some function of μ. It is obvious that it is impossible to satisfy this equation unless α = 0, so the force f does not depend on the diameter of the cylinder.

Figure 1.2
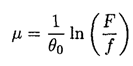
b) Consider an element of rope between angles θ and θ + dθ. The difference in tension dT between its ends equals dT = μN = μT dθ, where N is the normal force (see Figure 1.2). This equation has a solution: T = const . eμθ. At θ = 0, T = f, and at θ0 = π/3, T = F, so
(1)
From equation (1) we obtain the same result as determined in part (a), i.e., the force does not depend on the diameter of the cylinder. Similarly, if we have just one mouse, the minimum angle θ1 of wrapping is found from
(2)
where f' = f/10 = F/100 is the force necessary for one mouse to keep the rope from slipping. From equation (1), we can also find the coefficient of friction μ:

Then, from equation (2),

