
تاريخ الفيزياء

علماء الفيزياء


الفيزياء الكلاسيكية

الميكانيك

الديناميكا الحرارية


الكهربائية والمغناطيسية

الكهربائية

المغناطيسية

الكهرومغناطيسية


علم البصريات

تاريخ علم البصريات

الضوء

مواضيع عامة في علم البصريات

الصوت


الفيزياء الحديثة


النظرية النسبية

النظرية النسبية الخاصة

النظرية النسبية العامة

مواضيع عامة في النظرية النسبية

ميكانيكا الكم

الفيزياء الذرية

الفيزياء الجزيئية


الفيزياء النووية

مواضيع عامة في الفيزياء النووية

النشاط الاشعاعي


فيزياء الحالة الصلبة

الموصلات

أشباه الموصلات

العوازل

مواضيع عامة في الفيزياء الصلبة

فيزياء الجوامد


الليزر

أنواع الليزر

بعض تطبيقات الليزر

مواضيع عامة في الليزر


علم الفلك

تاريخ وعلماء علم الفلك

الثقوب السوداء


المجموعة الشمسية

الشمس

كوكب عطارد

كوكب الزهرة

كوكب الأرض

كوكب المريخ

كوكب المشتري

كوكب زحل

كوكب أورانوس

كوكب نبتون

كوكب بلوتو

القمر

كواكب ومواضيع اخرى

مواضيع عامة في علم الفلك

النجوم

البلازما

الألكترونيات

خواص المادة


الطاقة البديلة

الطاقة الشمسية

مواضيع عامة في الطاقة البديلة

المد والجزر

فيزياء الجسيمات


الفيزياء والعلوم الأخرى

الفيزياء الكيميائية

الفيزياء الرياضية

الفيزياء الحيوية

الفيزياء العامة


مواضيع عامة في الفيزياء

تجارب فيزيائية

مصطلحات وتعاريف فيزيائية

وحدات القياس الفيزيائية

طرائف الفيزياء

مواضيع اخرى
Car down Ramp up Loop
المؤلف:
Sidney B. Cahn And Boris E. Nadgorny
المصدر:
A GUIDE TO PHYSICS PROBLEMS
الجزء والصفحة:
part 1 , p 7
25-7-2016
1864
Car down Ramp up Loop
A car slides without friction down a ramp described by a height function h(x) which is smooth and monotonically decreasing as x increases from 0 to L. The ramp is followed by a loop of radius R. Gravitational acceleration is a constant g in the negative h direction (see Figure 1.1).

Figure 1.1
a) If the velocity is zero when x = 0, what is the minimum height h0 = h(0) such that the car goes around the loop, never leaving the track?
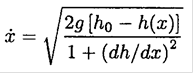
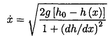
b) Consider the motion in the interval 0 < x < L before the loop. Assuming that the car always stays on the track, show that the velocity in the x direction is related to the height as

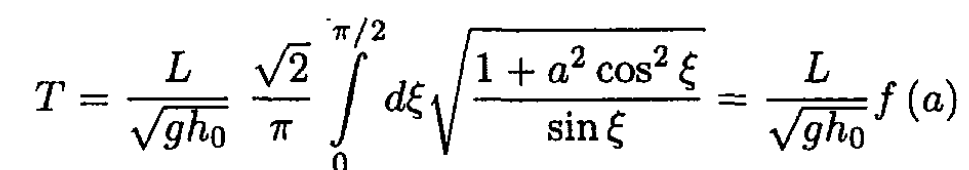
c) In the particular case that show that the h(x) = h0[1- sin (πx/2L)] time elapsed in going down the ramp from (0, h0) to (L, 0) can be expressed as
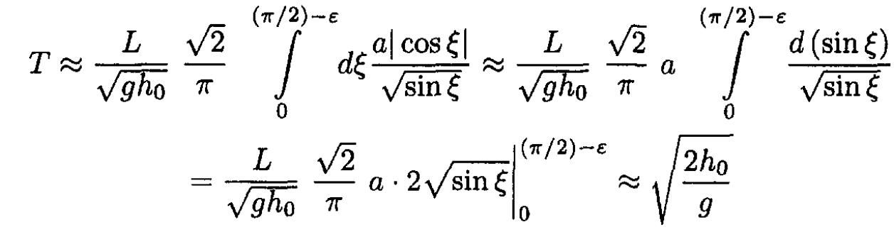
where a ≡ πh0 /2L, and write f(a) as a definite integral. Evaluate the integral in the limiting case h0 >> L and discuss the meaning of your answer.
SOLUTION
a) Since there is no friction, we have from energy conservation

Where v is the velocity of the car and m is its mass (see Figure 1.2). At any point of the ramp, the normal force of the ramp on the car should

Figure 1.2
be nonzero; otherwise, the car will leave the ramp. Obviously, the critical point is the top of the loop, x = L, where the velocity is minimal and gravity and centrifugal forces are antiparallel. For this point,
(1)
The minimum height h corresponds to a velocity v = vmin at this point, enough to provide a centrifugal acceleration equal to the gravitational acceleration:

Substituting this into (1) yields

b) Consider a point on the ramp 0 < x < L. The velocity at this point is defined by
(2)
Where v2 may be written
(3)
where the slope of the curve dy/dx is given by the derivative of the height function dh/dx Substituting (3) into (2) results in

c) Now consider h(x) = h0 [1-sin (πx/2L)]. Rewrite the solution to (b) as

The time T to travel to x = L can be expressed by the integral

Letting ζ = πx/2L and a ≡ πh0 /2L, we obtain

where

In the limiting case of h0 >> L, or a << 1, let us write the integral in the form

We can neglect 1 compared to a2 cos2 ζ for the region from 0 to (π/2) – ε, with 1/a < ε << 1. Then we have

This corresponds to free fall from the height h0, where gT2/2 = h0.
الاكثر قراءة في مواضيع اخرى
اخر الاخبار
اخبار العتبة العباسية المقدسة
الآخبار الصحية

قسم الشؤون الفكرية يصدر كتاباً يوثق تاريخ السدانة في العتبة العباسية المقدسة
"المهمة".. إصدار قصصي يوثّق القصص الفائزة في مسابقة فتوى الدفاع المقدسة للقصة القصيرة
(نوافذ).. إصدار أدبي يوثق القصص الفائزة في مسابقة الإمام العسكري (عليه السلام)