Rockets in Collision
المؤلف:
Sidney B. Cahn And Boris E. Nadgorny
المصدر:
A GUIDE TO PHYSICS PROBLEMS
الجزء والصفحة:
part 1 , p 34
13-7-2016
1349
Rockets in Collision
A person on Earth observes two rocket ships moving directly toward each other and colliding as shown in Figure 1.1a. At time t = 0 in the Earth

Figure 1.1a
frame, the Earth observer determines that rocket A, travelling to the right at vA = 0.8c, is at point a, and rocket B is at point b, travelling to the left at vB = 0.6c. They are separated by a distance l = 4.2 ×108 m (see Figure 1.1b).

Figure 1.1b
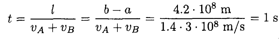
a) In the Earth frame, how much time will pass before the rockets collide?
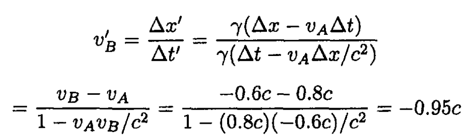
b) How fast is rocket B approaching in A’s frame? How fast is rocket A approaching in B’s frame?
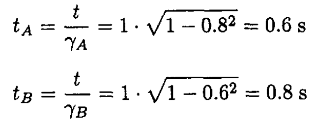
c) How much time will elapse in A’s frame from the time rocket A passes point until a, collision? How much time will elapse in B’s frame from the time rocket B passes point until collision?
SOLUTION
a) In the Earth frame

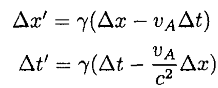
b) In A’s frame, the coordinates of B are given by the Lorentz transformation from the Earth frame

So, in A’s frame, B is approaching with velocity

The same result (with opposite sign) may be obtained in B’s frame for rocket A.
c) In each of the two rocket frames, the time to collision is dilated with respect to that in the Earth frame, and so

الاكثر قراءة في مواضيع اخرى
اخر الاخبار
اخبار العتبة العباسية المقدسة