
تاريخ الفيزياء

علماء الفيزياء


الفيزياء الكلاسيكية

الميكانيك

الديناميكا الحرارية


الكهربائية والمغناطيسية

الكهربائية

المغناطيسية

الكهرومغناطيسية


علم البصريات

تاريخ علم البصريات

الضوء

مواضيع عامة في علم البصريات

الصوت


الفيزياء الحديثة


النظرية النسبية

النظرية النسبية الخاصة

النظرية النسبية العامة

مواضيع عامة في النظرية النسبية

ميكانيكا الكم

الفيزياء الذرية

الفيزياء الجزيئية


الفيزياء النووية

مواضيع عامة في الفيزياء النووية

النشاط الاشعاعي


فيزياء الحالة الصلبة

الموصلات

أشباه الموصلات

العوازل

مواضيع عامة في الفيزياء الصلبة

فيزياء الجوامد


الليزر

أنواع الليزر

بعض تطبيقات الليزر

مواضيع عامة في الليزر


علم الفلك

تاريخ وعلماء علم الفلك

الثقوب السوداء


المجموعة الشمسية

الشمس

كوكب عطارد

كوكب الزهرة

كوكب الأرض

كوكب المريخ

كوكب المشتري

كوكب زحل

كوكب أورانوس

كوكب نبتون

كوكب بلوتو

القمر

كواكب ومواضيع اخرى

مواضيع عامة في علم الفلك

النجوم

البلازما

الألكترونيات

خواص المادة


الطاقة البديلة

الطاقة الشمسية

مواضيع عامة في الطاقة البديلة

المد والجزر

فيزياء الجسيمات


الفيزياء والعلوم الأخرى

الفيزياء الكيميائية

الفيزياء الرياضية

الفيزياء الحيوية

الفيزياء العامة


مواضيع عامة في الفيزياء

تجارب فيزيائية

مصطلحات وتعاريف فيزيائية

وحدات القياس الفيزيائية

طرائف الفيزياء

مواضيع اخرى
Inverse Compton Scattering
المؤلف:
Sidney B. Cahn And Boris E. Nadgorny
المصدر:
A GUIDE TO PHYSICS PROBLEMS
الجزء والصفحة:
part 1 , p 40
13-7-2016
1402
Inverse Compton Scattering
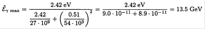
The HERA electron storage ring at Hamburg, Germany contains circulating electrons with an energy of 27 GeV. Photons of wavelength 514 nm from an argon-ion laser are directed so as to collide head-on with the stored electrons. Calculate the maximum scattered photon energy.
SOLUTION
Write the energy and momentum conservation laws in 4-notation, where we use units in which c = 1:
(1)
where pγ, pe, and
are the 4-momenta of the photon and electron before and after the collision, respectively. After subtracting
from both sides of (1) and squaring, we obtain
(2)
Here we used
and pμγ pγ μ = 0. We may rewrite (2) in the form
(3)
Introducing the angle θ between the direction of the incident and scattered photons, we have
(4)
From (4)
(5)
The maximum energy
in (5) corresponds to the minimum of the denominator which yields cos θ = -1, θ = π (backscattering). Therefore
(6)
Using the fact that me << εe (pe ≈ εe) and expanding the denominator, we can rewrite (6) in the form
(7)
We may now substitute values into (7): εγ = hc/λ = 2.42 eV, me = 0.51 MeV, and εe ≈ pe = 27 GeV, so

الاكثر قراءة في مواضيع اخرى
اخر الاخبار
اخبار العتبة العباسية المقدسة
الآخبار الصحية

قسم الشؤون الفكرية يصدر كتاباً يوثق تاريخ السدانة في العتبة العباسية المقدسة
"المهمة".. إصدار قصصي يوثّق القصص الفائزة في مسابقة فتوى الدفاع المقدسة للقصة القصيرة
(نوافذ).. إصدار أدبي يوثق القصص الفائزة في مسابقة الإمام العسكري (عليه السلام)