
تاريخ الفيزياء

علماء الفيزياء


الفيزياء الكلاسيكية

الميكانيك

الديناميكا الحرارية


الكهربائية والمغناطيسية

الكهربائية

المغناطيسية

الكهرومغناطيسية


علم البصريات

تاريخ علم البصريات

الضوء

مواضيع عامة في علم البصريات

الصوت


الفيزياء الحديثة


النظرية النسبية

النظرية النسبية الخاصة

النظرية النسبية العامة

مواضيع عامة في النظرية النسبية

ميكانيكا الكم

الفيزياء الذرية

الفيزياء الجزيئية


الفيزياء النووية

مواضيع عامة في الفيزياء النووية

النشاط الاشعاعي


فيزياء الحالة الصلبة

الموصلات

أشباه الموصلات

العوازل

مواضيع عامة في الفيزياء الصلبة

فيزياء الجوامد


الليزر

أنواع الليزر

بعض تطبيقات الليزر

مواضيع عامة في الليزر


علم الفلك

تاريخ وعلماء علم الفلك

الثقوب السوداء


المجموعة الشمسية

الشمس

كوكب عطارد

كوكب الزهرة

كوكب الأرض

كوكب المريخ

كوكب المشتري

كوكب زحل

كوكب أورانوس

كوكب نبتون

كوكب بلوتو

القمر

كواكب ومواضيع اخرى

مواضيع عامة في علم الفلك

النجوم

البلازما

الألكترونيات

خواص المادة


الطاقة البديلة

الطاقة الشمسية

مواضيع عامة في الطاقة البديلة

المد والجزر

فيزياء الجسيمات


الفيزياء والعلوم الأخرى

الفيزياء الكيميائية

الفيزياء الرياضية

الفيزياء الحيوية

الفيزياء والفلسفة

الفيزياء العامة


مواضيع عامة في الفيزياء

تجارب فيزيائية

مصطلحات وتعاريف فيزيائية

وحدات القياس الفيزيائية

طرائف الفيزياء

مواضيع اخرى
معادلة برنولي
المؤلف:
فريدريك بوش ، دافيد جيرد
المصدر:
اساسيات الفيزياء
الجزء والصفحة:
ص 348
3-7-2016
7521
معادلة برنولي
أن لكل سائل لزوجة معينة. وإذا كانت اللزوجة كبيرة من الضروري بذل شغل كبير لدفع السائل في الماسورة أو الأنبوبة. ونتيجة لقوى الاحتكاك بين طبقات السائل أثناء الانسياب سوف تفقد بعض الطاقة وتظهر في نهاية الأمر على هيئة حرارة تسبب تسخين السائل. ولكن بعض السوائل تمتاز بان لزوجتها من الصغر بحيث تكون فواقد الطاقة الاحتكاكية مهملة، على الأقل لبعض الأغراض وفي هذه الحالة يمكن إيجاد علاقة هامة للضغط في سائل متحرك تسمى معادلة برنولي نسبة إلى دانيل برنولي الذي قام بنشرها في عام 1738.

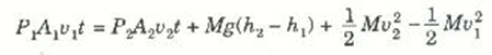
الشكل 1)): الشغل المبذول بواسطة F1 (وهو يساوي P1A1) يساوي الشغل المبذول ضد القوة F2 ( والذي يساوي P2A2) مضافاً إليه التغيرات في طاقتي الحركة الوضع للسائل.
لندرس حالة انسياب سائل في ماسورة كالمبينة بالشكل 1)). هذه الماسورة مملوءة تماماً بسائل غير قابل للانضغاط بين كباسين لا احتكاكيين. لنفرض أن الكباس 1 يدفع إلى اليمين بسرعة ثابتة مقدارها v1 وأن الكباس 2 يتحرك إلى اليمين بسرعة مقدارها v2. في هذه الحالة تتزن القوة F1 المؤثرة على الكباس 1 مع القوة P1A1 الناتجة عن ضغط السائل، حيث A1 مساحة الكباس 1. (لابد أن تتعادل القوتان المؤثرتان على الكباس وإلا سبب صافي القوة المؤثرة عليه تسارعه ).
وبالمثل فإن F2 = P2A2 عند الكباس 2. وحيث ان المسافة التي يتحركها الكباس 1 في زمن قدره t هي v1t فإن حجم السائل الذي يدفعه هذا الكباس يكون v1t)(A1)). وحيث أن السائل غير قابل للانضغاط، إذن لابد ان يفسح الكباس 2 مكاناً لحجم مساوٍ من السائل. وعليه فإن v1t)(A1) = (v2t)(A2) )، أو:
v1A1 = v2A2
وقد تساءل برنولي عما يحدث نتيجة للشغل المبذول بواسطة الكباس 1، وهو يساوي F1(v1t)، وحيث أن F1 = P1A1، إذن:
= P1A1v1tدخل الشغل
وحيث أن الكباس 2 يبذل كمية من الشغل قدرها F2(v2t) فإن جزءاً من دخل الشغل قد استخدم هناك.
بالإضافة إلى ذلك فإن السائل المضغوط إلى اليمين بواسطة الكباس 1 ينتقل بالطبع إلى الأنبوبة العلوية. ونتيجة لذلك يكتسب هذا السائل (وكتلته M وحجمه V) كمية معينة من طاقة الوضع. وأيضاً، حيث أن السائل يتحرك الآن بسرعة مختلفة v2 فإن طاقة حركته سوف تتغير أيضاً . وبالطبع سوف تتحول بعض الطاقة إلى طاقة حرارية نتيجة للقوى الاحتكاكية التي تسببها لزوجة السائل ، وكلننا سوف نفرض أن هذه الكمية مهملة. بهذا الأسلوب يمكن كتابة المعادلة التالية التي تخبرنا بما حدث لدخل الشغل:
التغير في KE + التغير في GPE + خرج الشغل = دخل الشغل
أو ، باستخدام رموز الشكل 1)):

حيث M كتلة الحجم المعنى من المسائل وقدره A1v1t. ومن تعريف الكثافة نجد أن :
A2v2t A1v1t = ρ M = ρ
وبالتعويض عن كتلة السائل في المعادلة السابقة وإعادة ترتيب حدودها نحصل على المعادلة الآتية:

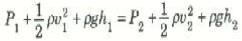
وهذه هي معادلة برنولي. وواضح أن وجود الكباسين غير ضروري لأن النقطتان 1 و 2 يمكن أن تكونا أي نقطتين في السائل. لاحظ، مع ذلك، أن هذه المعادلة صالحة للتطبيق فقط إذا أمكن إهمال قوة الاحتكاك.
الاكثر قراءة في خواص المادة
اخر الاخبار
اخبار العتبة العباسية المقدسة
الآخبار الصحية

قسم الشؤون الفكرية يصدر كتاباً يوثق تاريخ السدانة في العتبة العباسية المقدسة
"المهمة".. إصدار قصصي يوثّق القصص الفائزة في مسابقة فتوى الدفاع المقدسة للقصة القصيرة
(نوافذ).. إصدار أدبي يوثق القصص الفائزة في مسابقة الإمام العسكري (عليه السلام)