التصادم (The Collision)
المؤلف:
د. معن صفاء ابراهيم
المصدر:
الفيزياء الجامعية 101
الجزء والصفحة:
ص 181
18-2-2016
2692
التصادم (The Collision)
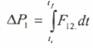
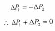
يمثل حالة بقاء جسمين أو أكثر مع بعض لفترة زمنية قصيرة وبذلك تتولد قوة الدفع بين الجسمين. ولو افترضنا حدوث تصادم بين جسمين، فإن القوة التي يؤثر بها الجسم الأول على الجسم الثاني هي (F12) والقوة التي يؤثر بها الجسم الثاني على الجسم الأول هي ((F21 حيث يمكن القول أن:


وبما أن: F12 =-F21 حسب قانون نيوتن الثالث (قانون الفعل ورد الفعل)، إذا:

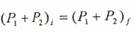
وهذا يعني أن المجموع الجبري للتغير في زخم الجسمين يساوي صفراً، أي أن زخم الجسمين قبل التصادم يساوي زخم الجسمين بعد التصادم، وهو ما يدعى بقانون حفظ الزخم.

وهذا ينطبق على كافة أنواع التصادمات ، كما يجدر الإشارة إلى أن الطاقة الحركية للأجسام المتصادمة تكون محتفظة في بعض أنواع التصادمات وغير محتفظة في بعضها الآخر.
الاكثر قراءة في الميكانيك
اخر الاخبار
اخبار العتبة العباسية المقدسة