أثر هول
المؤلف:
فريدريك بوش ، دافيد جيرد
المصدر:
اساسيات الفيزياء
الجزء والصفحة:
الفصل 19
24-1-2016
4841
أثر هول
هناك عدد قليل من الظواهر الكهربية التي تشير بوضوح إلى إشارة ناقلات الشحنة. ويمكن تفسير معظم التجارب بالنسبة لشحنات موجبة تتدفق في اتجاه ما ــ وبنفس الدرجة بالنسبة لشحنات سالبة تتدفق في الاتجاه المضاد. أما التجربة التي سنصفها هنا فهي واحدة من تجارب قليلة يتم فيها التمييز بين ناقلات الشحنة الموجبة والسالبة. وسنعتبر الآن الدائرة المبينة في الشكل (1 أ) حيث تتصل بطارية بطرفي شريط منتظم موصل ورقيق ومصنوع ربما من فلز. وتقع النقطتان المتماثلتان m و n عند نفس الجهد ولذلك لا يوجد بينهما فرق جهد ، وعندما يطبق مجال مغناطيسي عمودياً على الوجه العريض للشريط ــ كما في (1ب) ، فإن النقطتين m و n تصبحان عند جهدين مختلفين. وسنبحث الآن في كيفية تكون فرق الجهد هذا.
سنفترض أن الشحنات المتدفقة خلال الشريط موجبة. وترى إحدى هذه الشحنات في الشكل (1 ب). ونحن نعلم من قاعدة اليد اليمنى أن الشحنة ستجبر على الحركة إلى أعلى نحو m ، ومن ثم تصبح النقطة m موجبة ويظهر فرق للجهد بين النقطتين m و n.وتكرر القول بأن النقطة m تكون موجبة عندما تكون ناقلات الشحنة موجبة.
وسنفترض الآن ــ كبديل ــ أن التيار مكون من شحنات سالبة متحركة نحو اليسار ، كما في الشكل (1 جـ). ومرة أخرى تفيدنا قاعدة اليد اليمنى أن هناك قوة إلى أسفل تؤثر على الشحنات الموجبة المتحركة نحو اليسار. على أننا نتعامل الآن مع شحنات سالبة ، ولذا تتعرض هذه الشحنات إلى قوة متجه إلى أعلى نحو m. أي أن النقطة m في هذه الحالة ستصبح سالبة الشحنة.
إن لدينا هنا ، الآن ، طريقة حاسمة لتعيين إشارة ناقلات الشحنة في المادة. وقد اكتشف هذا الأثر العالم الفيزيائي الأمريكي إدوين هول عام 1879 وسمى من وقتها باسمه وصار أثر هول. ويستطيع علماء العصر الحالي ــ باستخدام هذا الأثر ــ أن يتعرفوا على إشارة ناقلات الشحنة في المواد الإلكترونية المحضرة حديثاً لكي تستغل في مجال إلكترونات الحالة الصلبة. ويشكل أثر هول أيضاً الأساس في أداة تنتج على نطاق تجاري لقياس المجالات المغناطيسية.

الشكل ((1
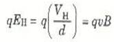
ويمكن أن يستخدم أثر هول لتعيين السرعة المتوسطة لناقلات الشحنة داخل موصل ما. وتسمى هذه السرعة المتوسطة بسرعة الانسياق نتيجة استجابة الشحنات للجهد المطبق. ولكي ندرك كيفية تعيين هذه السرعة فسنعتبر ما يحدث عندما تتراكم الشحنات (+ أو -) على الجانب m ، بينما يصبح الجانب المقابل n في حالة نقص من هذه الشحنات وبهذا يتكون مجال كهربي ومن ثم فرق للجهد بين الجانبين m و n.وهذا الجهد المستعرض هو ما يعرف بجهد هول ،VH وتتحدد قيمته بالتوازن القائم بين القوى المغناطيسية والقوى الكهربي المؤثرة على ناقلات الشحنة:

وهو ما يؤدي إلى :
VH = vBd
حيث v هي سرعة انسياق الشحنات و d عرض الشريط فإذا كانت قيم B ، d ،VH معروفة من القياسات فإن v يمكن تعيينها.
الاكثر قراءة في الكهرومغناطيسية
اخر الاخبار
اخبار العتبة العباسية المقدسة