الطاقة في مجال مغناطيسي
المؤلف:
فريدريك بوش ، دافيد جيرد
المصدر:
اساسيات الفيزياء
الجزء والصفحة:
17-1-2016
6262
الطاقة في مجال مغناطيسي
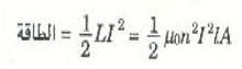
سنقوم الآن بتعيين الطاقة المختزنة في مجال مغناطيسي ، آخذين في الاعتبار الطاقة المختزنة في ملف محاثة. وسنفترض أن ملف المحاثة هو ملف لولبي طويل. إن المجال المغناطيسي محصورة بالضرورة في قلب الملف اللولبي وله قيمة منتظمة B = μ0nI.
وقد حسبنا قيمة محاثة ملف لولبي.
L = μ0n2lA
حيث l هو طول الملف اللولبي و A مساحة مقطعه المستعرض. ويلاحظ ، مع ذلك أن lAهو حجم منطقة قلب الملف اللولبي. والطاقة المختزنة داخل الملف اللولبي هي

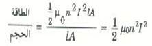
ومنها نجد أن الطاقة لوحدة الحجوم هي:

على أن المجال المغناطيسي في الملف اللولبي هو B = μ0nI ، ومنه ينتج أن I= B/μ0n وبالتعويض بهذه القيمة في المعادلة السابقة نجد أن
(1) 
وهي تساوي كثافة الطاقة في مجال مغناطيسي شدته B . وعلينا مقارنة هذا المقدار بالمقدار 0 E2ϵ ½ الذي وجدناه لكثافة الطاقة في مجال كهربائي موجود في الفراغ.
وإذا كان الملف اللولبي مملوءاً بمادة إنفاذيتها المغناطيسية النسبية هي Km فإن المعادلة ((1 ستظل قائمة إذا ضربنا 0μ فيKm . وعلى الرغم من أننا اشتققنا المعادلة (1) بالنسبة لحالة ملف لولبي إلا إنها نتيجة عامة تماماً وستتضح أهمية مفهوم الطاقة المختزنة في مجال مغناطيسي عند دراسة الطريقة التي يحمل الطاقة بها الضوء والموجات الكهرومغناطيسية الأخرى.
الاكثر قراءة في الكهرومغناطيسية
اخر الاخبار
اخبار العتبة العباسية المقدسة