

الجغرافية الطبيعية


الجغرافية الحيوية

جغرافية النبات

جغرافية الحيوان

الجغرافية الفلكية

الجغرافية المناخية

جغرافية المياه

جغرافية البحار والمحيطات

جغرافية التربة


جغرافية التضاريس

الجيولوجيا

الجيومورفولوجيا


الجغرافية البشرية


الجغرافية الاجتماعية

جغرافية السكان


جغرافية العمران

جغرافية المدن

جغرافية الريف

جغرافية الجريمة

جغرافية الخدمات


الجغرافية الاقتصادية

الجغرافية الزراعية

الجغرافية الصناعية

الجغرافية السياحية

جغرافية النقل

جغرافية التجارة

جغرافية الطاقة

جغرافية التعدين

الجغرافية التاريخية

الجغرافية الحضارية

الجغرافية السياسية و الانتخابات

الجغرافية العسكرية

الجغرافية الثقافية

الجغرافية الطبية

جغرافية التنمية

جغرافية التخطيط

جغرافية الفكر الجغرافي

جغرافية المخاطر

جغرافية الاسماء

جغرافية السلالات

الجغرافية الاقليمية

جغرافية الخرائط


الاتجاهات الحديثة في الجغرافية

نظام الاستشعار عن بعد

نظام المعلومات الجغرافية (GIS)

نظام تحديد المواقع العالمي(GPS)

الجغرافية التطبيقية

جغرافية البيئة والتلوث

جغرافية العالم الاسلامي

الاطالس

معلومات جغرافية عامة

مناهج البحث الجغرافي
أساليب الاختبار(أساليب المقارنة غير البارامترية)- اختبار مان هويتني (اختبار U)
المؤلف:
خلف حسين علي الدليمي
المصدر:
الاتجاهات الحديثة في البحث العلمي الجغرافي
الجزء والصفحة:
ص 192- 193
29-8-2022
1655
- اختبار مان هويتني (اختبار U):
يعد هذا النوع ابسط من النوعين السابقين , حيث يوضح المقارنة بين مجموعتين من البيانات والذي يوضح هل أن مجموعتي العينة مسحوبة من مجتمعين مختلفين ولهما نفس المتوسط الحسابي, أم مسحوبة من مجتمع واحد, و يعد هذا النوع بديلا لاختبار ستيودنت - ت ولا يشترط أن يكون توزيع البيانات لكل عينة توزيعا متماثلا (معتدلا), كما أن تطبيقه لا يرتبط بنوع معين من البيانات ولكن يفضل استخدامه في البيانات الترتيبية الثنائية (المزدوجة) والمتساوية وغير المتساوية في عدد مفرداتها.
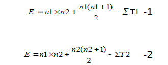
ويستخدم هذا الاختبار للدلالة على الفرق بين وسيطي عينتين ,أو اختبار فرض العدم القائل بان العينتين مسحوبتان من مجتمع واحد, وعليه لا يوجد اختلافا جوهريا أو حقيقيا بين بيانات العينتين, وإذا وجد اختلاف يكون بالصدفة, ويستخدم في الاختبار المعادلتين آلاتية:

n1 حجم العينة الأولى
n2 حجم العينة الثانية
ST1 مجموع رتب العينة الأولى
ST2 مجموع رتب العينة الثانية.
الاكثر قراءة في مناهج البحث الجغرافي
اخر الاخبار
اخبار العتبة العباسية المقدسة
الآخبار الصحية

قسم الشؤون الفكرية يصدر كتاباً يوثق تاريخ السدانة في العتبة العباسية المقدسة
"المهمة".. إصدار قصصي يوثّق القصص الفائزة في مسابقة فتوى الدفاع المقدسة للقصة القصيرة
(نوافذ).. إصدار أدبي يوثق القصص الفائزة في مسابقة الإمام العسكري (عليه السلام)