الإضطراب W المعتمد على الحقل المغناطيسي
المؤلف:
الدكتور محمد انور بطل
المصدر:
الفيزياء الذرية والجزيئية
الجزء والصفحة:
ص 196
7-2-2022
1987
الإضطراب W المعتمد على الحقل المغناطيسي
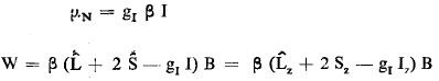
بأخذ بعين الإعتبار الإرتباط بين العزم المغناطيسي النووي μN والحقل المغناطيسي فإن :

لكن:

الإشارة (-) أمام g1 ناتجة عن التسمية المحددة في الفقرة السابقة .
في الارتباط L —S حيث (T1>T2) ، فإن الحد و يؤدي إلى انزياح في الطاقة أصغر بكثير من الحد T2. حسب شدة الحقل المغناطيسي المطبق يجب أن نميز الحالات التالية :
T1>T2>T3>W (aستعتبر W كإضطراب نطبقه على حلول الهاملتونيان :

في هذه الحالة نكون ضمن حقول مغناطيسية ضعيفة جداً.
T1>T2>W>T3 (b يطبق الإضطراب على Ho +T1+T2 ثم على الحاصل بتطبيق الإضطراب T3 في هذه الحالة نكون ضمن شروط فك الإرتباط IJ أو يسمى مفعول باك غودسمت Back - Godsmit .
T1>W>T2>T3 (c في هذه الحالة فإن مفعول باشن باك يجب أن يكمل تصحيحات تترجم T3.
الاكثر قراءة في الفيزياء الذرية
اخر الاخبار
اخبار العتبة العباسية المقدسة