
تاريخ الفيزياء

علماء الفيزياء


الفيزياء الكلاسيكية

الميكانيك

الديناميكا الحرارية


الكهربائية والمغناطيسية

الكهربائية

المغناطيسية

الكهرومغناطيسية


علم البصريات

تاريخ علم البصريات

الضوء

مواضيع عامة في علم البصريات

الصوت


الفيزياء الحديثة


النظرية النسبية

النظرية النسبية الخاصة

النظرية النسبية العامة

مواضيع عامة في النظرية النسبية

ميكانيكا الكم

الفيزياء الذرية

الفيزياء الجزيئية


الفيزياء النووية

مواضيع عامة في الفيزياء النووية

النشاط الاشعاعي


فيزياء الحالة الصلبة

الموصلات

أشباه الموصلات

العوازل

مواضيع عامة في الفيزياء الصلبة

فيزياء الجوامد


الليزر

أنواع الليزر

بعض تطبيقات الليزر

مواضيع عامة في الليزر


علم الفلك

تاريخ وعلماء علم الفلك

الثقوب السوداء


المجموعة الشمسية

الشمس

كوكب عطارد

كوكب الزهرة

كوكب الأرض

كوكب المريخ

كوكب المشتري

كوكب زحل

كوكب أورانوس

كوكب نبتون

كوكب بلوتو

القمر

كواكب ومواضيع اخرى

مواضيع عامة في علم الفلك

النجوم

البلازما

الألكترونيات

خواص المادة


الطاقة البديلة

الطاقة الشمسية

مواضيع عامة في الطاقة البديلة

المد والجزر

فيزياء الجسيمات


الفيزياء والعلوم الأخرى

الفيزياء الكيميائية

الفيزياء الرياضية

الفيزياء الحيوية

الفيزياء والفلسفة

الفيزياء العامة


مواضيع عامة في الفيزياء

تجارب فيزيائية

مصطلحات وتعاريف فيزيائية

وحدات القياس الفيزيائية

طرائف الفيزياء

مواضيع اخرى
التوصيلية عبرالصمام الثلاثي gm
المؤلف:
د/محمد فاروق أحمد و د/محمد خضر كاتب
المصدر:
أسس الإلكترونيات
الجزء والصفحة:
70
3-9-2021
2131
التوصيلية عبرالصمام الثلاثي gm
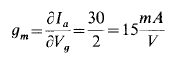
وهي تحدد معدل تغير التيار الأنودي بتغير جهد الشبكة عندما يبقى جهد الأنود ثابتا. فإذا تغير جهد الشبكة بمقدار ΔVg وتغير نتيجة لذلك تيار الأنود بمقدار ΔIa في حتن كان جهد الأنود ابتا تكون التوصيلية gm هي

مثال: عند تغير جهد لشبكة بمقدار 2 فولت تغير تيار الأنود بمقدار 30 مللي أمبير في حين كان جهد الأنود ثابتاً. أوجد توصيلية هذ الصمام .

وتحدد توصيلية الصمام بإستخدام مميزة الإنتقال بطريقة النقطتين كما يمكن تحديدها من مجموعة المميزة الأنودية. وتعتمد قيمة التوصيلية على كل من جهد الشبكة وجهد الأنود وتكون قيمتها ثابتة تقريباً بالنسبة لجهد الأنود المعين وذلك في المنطقة الخطية من مميزة الإنتقال.
الاكثر قراءة في الألكترونيات
اخر الاخبار
اخبار العتبة العباسية المقدسة
الآخبار الصحية

قسم الشؤون الفكرية يصدر كتاباً يوثق تاريخ السدانة في العتبة العباسية المقدسة
"المهمة".. إصدار قصصي يوثّق القصص الفائزة في مسابقة فتوى الدفاع المقدسة للقصة القصيرة
(نوافذ).. إصدار أدبي يوثق القصص الفائزة في مسابقة الإمام العسكري (عليه السلام)