
تاريخ الفيزياء

علماء الفيزياء


الفيزياء الكلاسيكية

الميكانيك

الديناميكا الحرارية


الكهربائية والمغناطيسية

الكهربائية

المغناطيسية

الكهرومغناطيسية


علم البصريات

تاريخ علم البصريات

الضوء

مواضيع عامة في علم البصريات

الصوت


الفيزياء الحديثة


النظرية النسبية

النظرية النسبية الخاصة

النظرية النسبية العامة

مواضيع عامة في النظرية النسبية

ميكانيكا الكم

الفيزياء الذرية

الفيزياء الجزيئية


الفيزياء النووية

مواضيع عامة في الفيزياء النووية

النشاط الاشعاعي


فيزياء الحالة الصلبة

الموصلات

أشباه الموصلات

العوازل

مواضيع عامة في الفيزياء الصلبة

فيزياء الجوامد


الليزر

أنواع الليزر

بعض تطبيقات الليزر

مواضيع عامة في الليزر


علم الفلك

تاريخ وعلماء علم الفلك

الثقوب السوداء


المجموعة الشمسية

الشمس

كوكب عطارد

كوكب الزهرة

كوكب الأرض

كوكب المريخ

كوكب المشتري

كوكب زحل

كوكب أورانوس

كوكب نبتون

كوكب بلوتو

القمر

كواكب ومواضيع اخرى

مواضيع عامة في علم الفلك

النجوم

البلازما

الألكترونيات

خواص المادة


الطاقة البديلة

الطاقة الشمسية

مواضيع عامة في الطاقة البديلة

المد والجزر

فيزياء الجسيمات


الفيزياء والعلوم الأخرى

الفيزياء الكيميائية

الفيزياء الرياضية

الفيزياء الحيوية

الفيزياء والفلسفة

الفيزياء العامة


مواضيع عامة في الفيزياء

تجارب فيزيائية

مصطلحات وتعاريف فيزيائية

وحدات القياس الفيزيائية

طرائف الفيزياء

مواضيع اخرى
الحركية والتوصيلية في المعادن
المؤلف:
د/محمد فاروق أحمد و د/محمد خضر كاتب
المصدر:
أسس الإلكترونيات
الجزء والصفحة:
43
17-8-2021
2822
الحركية والتوصيلية في المعادن
وجدنا في المعادن أن إلكترونات التكافؤ لذرة ما تكون مرتبطة بذرتها الأم إرتباطاً ضعيفاً جداً بحيث يمكن إعتباره مساوياً للصفر حيث لا يوجد قطاع محظور بالنبة لهذه الإلكترونات وبذلك نجد أن لكل ذرة من ذرات امعدن يوجد ما لا يقل عن إلكترون (وأحياناً إلكترونان أو ثلاثة) حر يمكنه أن يتحرك بحرية بين الأيونات

الشكل(1)
المكونه للمعدن . ويبين شكل (1) كيفية توزيع الذرات (بدقة أكثر الأيونات) في المعدن حيث ترمز كل دائرة مظللة لنواة واحدة مع الإلكترونات المرتبطة به إرتباطاً وثيقاً (أي لأحد الأيونات) ٠ أما الفراغات الغير مظللة بين الأيونات فهي تحتوي على إلكترونات التكافؤ للذرات وهي تلك الإلكترونات الحرة والغير مرتبطة بذرة محددة وتسمى الإلكترونات الفي فقدت ذاتها , وتسطيع هذه الإلكترونات الحرة أن تجول بجرية من ذرة إلى أخرى في الفراغات بين هذه الأيونات . وعلى ذلك فالمعادن عبارة عن تركيبة بلورية تحتوي على أيونات مرتبة ترتيباً دورياً منتظماً ومرتبطة يبعضها إرتباطاً وثيقاً تسبح بينها بحرية سحابة من الإلكترونات . وتعرف هذه الصورة باسم الوصف الإلكتروني الغازي للمعدن.
وطبقاً للنظرية الإلكترونية الغازية للمعدن تكون لإلكترونات في حركة مستمرة ويتغير إتجاه حركة أي من هذه الإلكترونات عند إصطدامه بأحد الأيونات الثقيلة . وتسمى المسافة المتوسطة بين كل إصطدامين متتاليين بمتوسط الممر الحر وحيث أن حركة الإلكترونات حركة عشوائية فإن التيار الكهربي الناتج عن هذه الحركة يكون مساوياً للصفر.
وعند التأثير على المعدن بواسطة مجال كهربي فإنه نتيجة للقوة الكهروستاتيكية الواقعة على الإلكترونات تبدأ هذه الإلكترونات في التعجيل وتزداد سرعاتها كدالة للزمن . ولكن نتيجة للتصادم بين الإلكترونات والأيونات فإن الإلكترون بفقد جزء من طاقته (أي من سرعته). وهكذا تصل سرعة الإلكترون داخل المعدن إلى قيمة ثابتة تعرف بإسم سرعة الإنسياق vd . ويكون إتجاه السرعة معاكساً لإتجاه المجال الكهربي . وترتبط سرعة الإنسياق بشدة المجال ε بالعلاقة
(1)
حيث تعرف μ بإسم حركية الإلكترونات (ووحدتها متر2/فولت. ثانية). وهكذا نجد أن حركة الإلكترونات أصبحت تتكون من مركبتين إحداهما عشوائية والأخرى إنسياقية ولها إتجاه محدد، وبذلك يمر تيار كهربي. فإذا عبرنا عن كثافة الإلكترونات الحرة بالرمز J (هو عبارة عن عدد الإلكترونات في المعدن لكل متر3) تكون كثافة التيار ل (الأمبير/متر2) هي
(2)
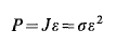
حيث σ= neμ وتعرف بتوصيلية المعدن وتعرف العلاقة (٢) بإسم قانون أوم. وجدير بالذكر أن الطاقة التي تكتسيها الإلكترونات نتيجة للمجال الكهربي تعود فتفقدها نتيجة للتصادم مع الأيونات الثابتة وعلى ذلك تكون القدرة المفقودة في المعدن هي
(3)
الاكثر قراءة في الألكترونيات
اخر الاخبار
اخبار العتبة العباسية المقدسة
الآخبار الصحية

قسم الشؤون الفكرية يصدر كتاباً يوثق تاريخ السدانة في العتبة العباسية المقدسة
"المهمة".. إصدار قصصي يوثّق القصص الفائزة في مسابقة فتوى الدفاع المقدسة للقصة القصيرة
(نوافذ).. إصدار أدبي يوثق القصص الفائزة في مسابقة الإمام العسكري (عليه السلام)